网站首页  百科知识

请输入您要查询的百科知识:

 

词条 草枯醚
类别 中文百科知识
释义

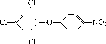
草枯醚chlornitrofen

二苯醚类触杀性除草剂。化学名称:2,4,6-三氯苯基-4′-硝基苯基醚。化学结构式如下。原药为黄褐色结晶状粉末,熔点107℃。107℃时蒸气压为46.66 Pa,几乎不溶于水,易溶于苯及甲苯,微溶于醇类。对酸、碱、热稳定。草枯醚在土壤表面形成药层,幼芽与药剂接触后渗入幼芽,经光活化后使杂草中毒死亡。水稻田使用防除稗草、莎草、丁香蓼、鸭舌草、节节菜、碱草、牛毛草、瓜皮草等一年生杂草。草枯醚对大鼠急性口服LD50>10 000 mg/kg,急性经皮LD50>5 000mg/kg,对鱼低毒。连续使用可能引起慢性致畸、致突变。

随便看

 

开放百科全书收录579518条英语、德语、日语等多语种百科知识,基本涵盖了大多数领域的百科知识,是一部内容自由、开放的电子版国际百科全书。

 

Copyright © 2000-2025 oenc.net All Rights Reserved
更新时间:2026/5/18 13:24:52