网站首页  百科知识

请输入您要查询的百科知识:

 

词条 茶叶可可碱
类别 中文百科知识
释义

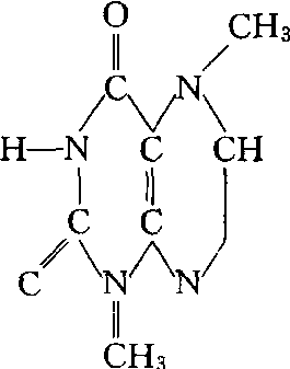
茶叶可可碱theobromine of tea

又称可可豆碱。化学名称:3,7-二甲基-2,6-二氧嘌呤或3,7-二甲基黄嘌呤。茶叶生物碱之一。其结构式如右。呈白色结晶性粉末。无臭,略有苦味,溶于热水,难溶于冷水及乙醇,几乎不溶于苯、乙醚、氯仿。具有两性反应。

随便看

 

开放百科全书收录579518条英语、德语、日语等多语种百科知识,基本涵盖了大多数领域的百科知识,是一部内容自由、开放的电子版国际百科全书。

 

Copyright © 2000-2025 oenc.net All Rights Reserved
更新时间:2025/11/10 22:48:43