网站首页  百科知识

请输入您要查询的百科知识:

 

词条 苯菌灵
类别 中文百科知识
释义

苯菌灵benomyl

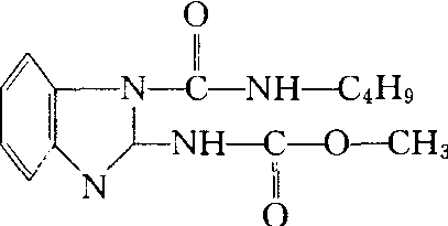
高效广谱内吸性苯并咪唑类杀菌剂。商品名苯来特(Benlate)。结构式:

1967年首先由杜邦(Du Pont)公司开发成功。
性能 纯品为白色结晶,带有轻微的苦辣味,熔化时分解。室温不易挥发,不溶于水和油,溶于丙酮、氯仿和二甲苯。对温血动物低毒。对大鼠LD50>10000毫克/千克,对家兔急性经皮LD50为10000毫克/千克。对皮肤有轻微刺激性,但不引起皮炎。以2500毫克/千克剂量喂饲大鼠90天,无中毒反应。对雄野鸡和鹌鹑LD50>10000毫克/千克,对鲤鱼48小时TLm7.5毫克/升。高效、广谱,具有保护、治疗和铲除作用。它对子囊菌纲和半知菌类的许多病原菌有良好的生物活性。对某些担子菌引起的病害如黑穗病,也有一定的防治效果。对锈病效果不佳,对藻菌纲真菌病害无效。其作用机制为干扰细胞的有丝分裂过程,而起抑菌作用。可采用喷洒、拌种和土壤处理等方法施用。对螨卵也有一定的防治效果。
应用 主要用于蔬菜、果树和各种经济作物病害的防治,也用于麦类赤霉病和大豆菌核病的防治。以167~250毫克/升浓度,在发病前或发病初期喷雾,可有效地防治瓜类灰霉病和炭疽病、茄子灰霉病、番茄叶霉病、葱类灰色腐败病、芹菜灰斑病、柑桔疮痂病和灰霉病、苹果黑星病和黑点病、梨黑星病、葡萄褐斑病和白粉病、花生褐斑病等。以333~500毫克/升喷洒可防治麦类赤霉病和大豆菌核病。以每千克种子用药有效成分1~2克拌种可防治麦类黑穗病。土壤处理防治棉花黄萎病和枯萎病也有一定的效果。此外喷洒或浸渍方法还可用于水果和蔬菜保鲜。药剂长期连续施用,可使病原菌产生抗药性,与多菌灵有交互抗药性。与其他药剂交替使用或混用,可延缓抗药性的生成。但不能与波尔多液和石硫合剂等碱性农药混用。加工剂型主要为50%可湿性粉剂。

苯菌灵benomyl

又称苯来特。杂环类杀菌剂。化学名称:1-正丁氨基甲酰-2-苯并咪唑氨基甲酸甲酯。化学结构式如下。原药为白色结晶,具微辛辣味,不易挥发,不溶于水和难溶于一般溶剂,可溶于氯仿、丙酮中。1967年由美国杜邦公司推广,广谱内吸性杀菌剂,具有保护、治疗、铲除作用及杀螨卵作用。由于它在水介质和植物体内易被分解为多菌灵,最终以多菌灵对病菌发挥作用。因此其抗菌谱、杀菌作用、防治对象等均与多菌灵、硫菌灵相似。但苯菌灵在低浓度下有时效果比多菌灵好,这可能与其结构中丁胺甲酰基提高药剂的亲酯性以及分解产物异氰酸丁酯具抑制真菌糖代谢有关。对植物安全、对人畜低毒。小鼠口服急性LD50>5 000 mg/kg,大鼠经皮急性LD50>10 000 mg/kg,鲤鱼耐药中量(TLM)7.5 mg/L(48 h)。

随便看

 

开放百科全书收录579518条英语、德语、日语等多语种百科知识,基本涵盖了大多数领域的百科知识,是一部内容自由、开放的电子版国际百科全书。

 

Copyright © 2000-2025 oenc.net All Rights Reserved
更新时间:2026/1/13 17:14:07