网站首页  百科知识

请输入您要查询的百科知识:

 

词条 苯磺隆
类别 中文百科知识
释义

苯磺隆tribenuron-methyl

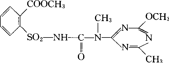
内吸传导选择性麦类作物高效磺酰脲类除草剂。又名DPX-L5300、Express TM、巨星、阔叶净。美国杜邦公司于1984年首先开发。化学结构式:


性能 本品为白色固体,无味,熔点141℃,蒸气压3.6×10-5帕/25℃。在有机溶剂中的溶解度(毫克/升): 甲醇为3.39,醋酸乙酯为17.5,丙酮为43.8乙腈为54.2;水溶度因pH而异: pH4.0为28,pH5.0为50,pH6.0为280毫克/升。对温血动物的毒性很低,大鼠口服LD50>5000毫克/千克,对野生动物及鱼类的毒性低。加工剂型为75%干燥胶悬剂或可湿性粉剂。
作用机制 作用机制与其他磺酰脲除草剂品种近似,即通过植物的根、茎、叶吸收后,迅速传导,抑制乙酰乳酸合成酶(ALS)的活性,阻碍缬氨酸与异亮氨酸生物合成,造成生长受抑制,植株在1~3周内死亡。抗药性作物小麦吸收药剂后,在体内能迅速将其代谢而形成葡萄糖轭合物,故不受害。阔叶净在土壤中主要通过水解作用而迅速消失,在酸性土中水解作用迅速,如pH为7时,半衰期6天,pH4~3时,半衰期仅1天。在正常用量条件下,施药后经60天,可以安全种植各种作物,因而适于在多熟制地区的麦田应用。
应用 阔叶净用于小麦、大麦、燕麦等作物地防治田蓟、繁缕、播娘蒿、藜、蓼、反枝苋、田芥及宝盖草、麦家公等对2,4-滴有抗药性的阔叶杂草,每公顷有效用量10~20克,在作物出苗后、杂草幼龄阶段喷药,加入非离子型表面活性剂能提高杀草活性。阔叶净对田旋花、野燕麦、狗尾草等防治效果差,可与其他除草剂混用。阔叶净在土壤中的持效期因用量、土壤类型、气候条件及杂草群落组成而异,一般不超过30天,因而对轮作中各种后茬作物无害。

苯磺隆tribenuron-methyl

又称阔叶净、巨星。磺酰脲类内吸、选择性、超高效除草剂。化学名称:2-〔(4-甲氧基-6-甲基1,3,5-三氮苯-2-基)-甲氨基羰基氨基磺酸基〕苯甲酸甲酯。化学结构式如下。原药为白色固体,密度1.54,熔点141℃,25℃时蒸气压为52.0×10-10 Pa,微溶于水及多种有机溶剂。可被杂草的茎、叶和根吸收并传导,抑制缬氨酸、亮氨酸和异亮氨酸的生物合成而致死。禾谷类作物有很好的耐药性,适于小麦、大麦等作物使用,防除田蓟、繁缕、猪殃殃、麦家公、播娘蒿、宝盖草、地肤、蓼、荠菜、猪毛菜等阔叶杂草。对人畜低毒,大鼠急性口服LD50>5 000 mg/kg,兔急性经皮LD50>2 000 mg/kg,大鼠急性吸入LC50>5 mg/L。对眼有轻微刺激,对鱼类及鸟类低毒。

随便看

 

开放百科全书收录579518条英语、德语、日语等多语种百科知识,基本涵盖了大多数领域的百科知识,是一部内容自由、开放的电子版国际百科全书。

 

Copyright © 2000-2025 oenc.net All Rights Reserved
更新时间:2026/5/19 12:36:30