网站首页  百科知识

请输入您要查询的百科知识:

 

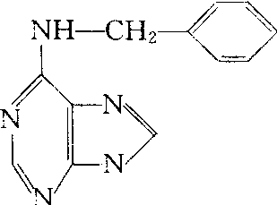
词条 苄基腺嘌呤
类别 中文百科知识
释义

苄基腺嘌呤6-benzyladenine,6-BA

一种人工合成的细胞分裂素。分子式为C12H11N5,化学结构式如右。分子质量225.25 u。溶于稀碱、稀酸,不溶于乙醇。主要生理作用与激动素相似,且活性高于激动素,常用于组织培养中。

随便看

 

开放百科全书收录579518条英语、德语、日语等多语种百科知识,基本涵盖了大多数领域的百科知识,是一部内容自由、开放的电子版国际百科全书。

 

Copyright © 2000-2025 oenc.net All Rights Reserved
更新时间:2025/11/10 10:19:50