网站首页  百科知识

请输入您要查询的百科知识:

 

词条 芳烃的烷基化反应
类别 中文百科知识
释义

芳烃的烷基化反应fangting de wanjihua fanying

亦称傅列德尔-克拉夫茨烷基化反应。在无水三氯化铝催化下,芳烃与卤代烃 (或烯烃、醇) 发生亲电取代反应,生成芳烃的烷基取代物。这是个可逆反


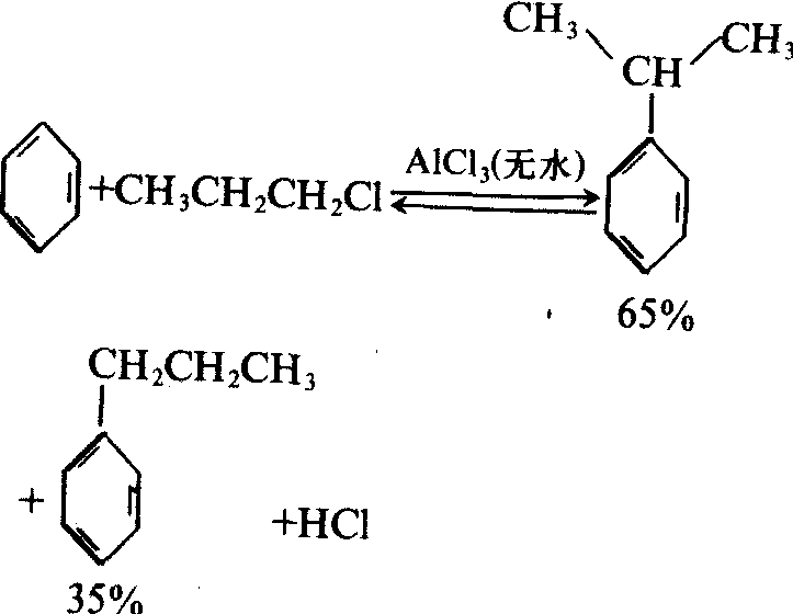
生成物烷基苯比苯更容易继续反应。因此,反应很难停留在一元取代上,得到的产物往往是混合物。若卤代烷的烷基是3个碳以上的直键,反应时常发生异构化。如:

若苯环上含有间位定位基时,使烷基化反应不易进行,甚至不反应。利用傅列德尔-克拉夫茨酰基化反应,苯环上可引入酰基而得到芳香酮,酰基化反应形成一元取代物,且不发生异构化。


随便看

 

开放百科全书收录579518条英语、德语、日语等多语种百科知识,基本涵盖了大多数领域的百科知识,是一部内容自由、开放的电子版国际百科全书。

 

Copyright © 2000-2025 oenc.net All Rights Reserved
更新时间:2026/5/19 18:08:26