网站首页  百科知识

请输入您要查询的百科知识:

 

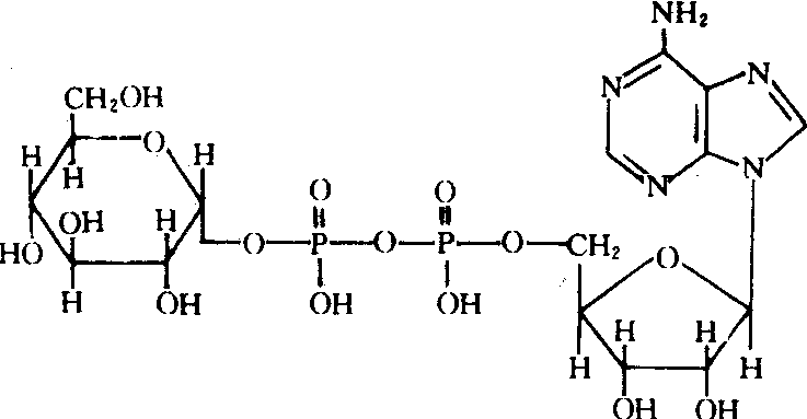
词条 腺苷二磷酸葡萄糖
类别 中文百科知识
释义

腺苷二磷酸葡萄糖adenosine diphosphate glucose,ADPG

一种糖核苷酸。葡萄糖的半缩醛羟基与腺苷二磷酸的末端磷酸基之间去水缩合而成的化合物。结构式如下。在体内由腺苷二磷酸葡萄糖焦磷酸化酶催化合成,反应式为:葡萄糖-1-磷酸+腺苷三磷酸⇌腺苷二磷酸葡萄糖+焦磷酸。 存在于植物和细菌中,在淀粉和其他α-1,4-葡聚糖的合成中作葡萄糖基的供体,是植物体内淀粉合酶的主要底物。

随便看

 

开放百科全书收录579518条英语、德语、日语等多语种百科知识,基本涵盖了大多数领域的百科知识,是一部内容自由、开放的电子版国际百科全书。

 

Copyright © 2000-2025 oenc.net All Rights Reserved
更新时间:2026/5/19 12:20:09