网站首页  百科知识

请输入您要查询的百科知识:

 

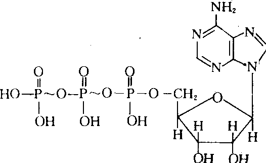
词条 腺苷三磷酸
类别 中文百科知识
释义

腺苷三磷酸adenosine triphosphate,ATP

又称三磷酸腺苷。一种最重要的高能磷酸化合物。由三个磷酰基以焦磷酸键相连,再通过磷酸酯键与腺苷51-C连接而成。结构式如下。分子中含二个高能磷酸键,具有较高的磷酰基转移势能,水解或磷酰基转移时可产生大量的自由能。水解为ADP和磷酸时,反应的自由能变化为-30.5 kJ·mol-1 ;水解为腺苷一磷酸(AMP)和焦磷酸时,反应的自由变化为-31.8 kJ·mol-1。在生物体内,其水解放能反应常与吸能反应偶联,推动吸能反应的进行。直接为生物合成、膜的主动运输、肌肉收缩、生物运动、生物发光等生命活动提供能量。在体内,可通过底物水平磷酸化、氧化磷酸化以及光合磷酸化,从ADP合成。可作为药物用于医疗保健。

随便看

 

开放百科全书收录579518条英语、德语、日语等多语种百科知识,基本涵盖了大多数领域的百科知识,是一部内容自由、开放的电子版国际百科全书。

 

Copyright © 2000-2025 oenc.net All Rights Reserved
更新时间:2026/5/19 17:38:53