网站首页  百科知识

请输入您要查询的百科知识:

 

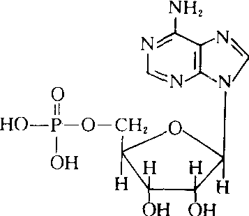
词条 腺苷一磷酸
类别 中文百科知识
释义

腺苷一磷酸adenosine monophosphate,AMP

又称一磷酸腺苷、5′-腺苷酸。由一个磷酰基通过磷酸酯键与腺苷5′-C连接而成。结构式如右。在生物体内,可由腺苷三磷酸(ATP)分解脱去二个磷酸产生;也可经腺苷酸激酶催化与ATP反应,转变为腺苷二磷酸(ADP)。是核糖核酸(RNA)的组成单位之一。

随便看

 

开放百科全书收录579518条英语、德语、日语等多语种百科知识,基本涵盖了大多数领域的百科知识,是一部内容自由、开放的电子版国际百科全书。

 

Copyright © 2000-2025 oenc.net All Rights Reserved
更新时间:2025/11/10 17:36:52