网站首页  百科知识

请输入您要查询的百科知识:

 

词条 腐霉利
类别 中文百科知识
释义

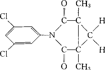
腐霉利procymidone

又称菌核酮、速克灵。二甲酰亚胺类杀菌剂。化学名称:N(3,5-二氯苯基)-1,2-二甲基环丙烷-1,2,二羰基亚胺。化学结构式如下。原药白色结晶,微溶于水,可溶于丙酮、二甲苯,在日光和潮湿条件下稳定。内吸性杀菌剂。对葡萄孢霉菌和核盘菌有特效,特别是对多菌灵类产生抗药性菌的地区,可以换用此药。用于防治蔬菜、果树、花卉灰霉病、菌核病等。内吸活性较弱,残效期5星期左右。药剂作用于菌体细胞膜,阻碍菌体内高分子生物合成,对植物安全,对人畜低毒,小鼠(♀)急性口服LD50为9 100 mg/kg,经皮LD50>10 000 mg/kg,慢性毒性,致突变,致畸及三个世代繁殖试验均未发现不良影响。

随便看

 

开放百科全书收录579518条英语、德语、日语等多语种百科知识,基本涵盖了大多数领域的百科知识,是一部内容自由、开放的电子版国际百科全书。

 

Copyright © 2000-2025 oenc.net All Rights Reserved
更新时间:2025/11/10 12:12:39