网站首页  百科知识

请输入您要查询的百科知识:

 

词条 脑磷脂
类别 中文百科知识
释义

脑磷脂

又称“乙醇胺磷酸甘油酯”,磷脂酰乙醇胺的异名。高等植物与动物体中的一种主要磷酸甘油酯,因其磷脂酸上含氮碱(乙醇胺)与磷酸基合成酯。

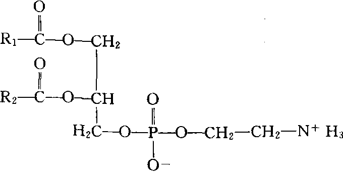
脑磷脂cephalin

又称磷脂酰乙醇胺。由甘油、脂肪酸(二分子)、磷酸和乙醇胺(胆胺)失水缩合而成的酯。结构式如下。性质与卵磷脂相似,但溶解性能有所不同,溶于乙醚,不溶于乙醇和丙酮。是生物膜的主要成分之一。与卵磷脂共存于动、植物的各种组织、器官中,在油料种子、脑和神经组织中含量较多。从脑和神经组织中提出的磷脂还有磷脂酰丝氨酸(丝氨酸磷脂),有时也将其包括在脑磷脂中。

随便看

 

开放百科全书收录579518条英语、德语、日语等多语种百科知识,基本涵盖了大多数领域的百科知识,是一部内容自由、开放的电子版国际百科全书。

 

Copyright © 2000-2025 oenc.net All Rights Reserved
更新时间:2025/11/9 22:01:06