网站首页  百科知识

请输入您要查询的百科知识:

 

词条 脂肪
类别 中文百科知识
释义

脂肪zhifang

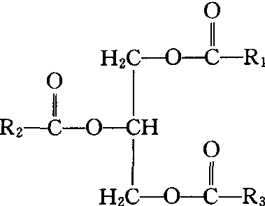
是脂肪酸和甘油构成的甘油三酯,又称中性脂肪。动物油(如猪油、牛油、羊油、奶油及鱼肝油等)与植物油(如芝麻油、花生油、豆油、菜油等)都是各种甘油三酯的混合物。甘油三酯的结构式是:
式中的R1、R2和R3是脂肪酸的碳氢链,如三者相同就叫做单纯甘油三酯,如不同则称为混合甘油三酯。植物油含有的不饱和脂肪酸比动物油多,因而含必需脂肪酸也较多。在室温下,含不饱和脂肪酸(熔点较低)比较多的脂肪是液体,比较少的是固体。甘油三酯与酸或碱共沸,或经胰脏分泌入小肠的脂肪酶作用可以水解。用KOH或NaOH水解甘油三酯叫做皂化作用,产物是K+或Na+皂与甘油。这是从甘油三酯制造家用肥皂过程的初级化学反应。液体脂肪(油)可在所含大量不饱和脂肪酸的双链上加氢,使之变成固体。这在工业上很重要,因为制肥皂、贮存、运输等都以半固态或固态的脂肪较好。脂肪在潮湿的空气中放置过久,便会产生难闻的气味,这种变化叫做酸败。这是脂肪因水解、氧化等作用产生的一些有异味的羧酸、醛、酮等化合物。微生物也能使脂肪酸败。不饱和脂肪的酸败一般不会在细胞中发生,因为这种作用会受到维生素E(有抗氧化作用)和一些酶的抑制,可能也被维生素C(抗坏血酸)抑制。但是,在某些疾病中可能发生这种作用,导致在一定组织中生成异常的脂类沉积物。甘油三酯的主要功能是贮存脂类。在大多数动物和植物细胞中,甘油三酯在显微镜下表现为胞液中均匀分散和乳化的油滴。在动物结缔组织的特化细胞——脂肪细胞中,大量的甘油三酯以脂肪滴的形式贮存,几乎充满了整个细胞。哺乳动物的皮肤下、腹腔中和腺体中都有大量的脂肪细胞。肥胖人体的脂肪细胞中可沉积许多公斤的甘油三酯,足够供应机体的基本能量需要几个月之久。而机体所贮存的糖原量尚不足供应能量一日之需。作为能的贮存形式,甘油三酯比糖原更为合适。它们不仅能以几乎纯的、不含水的形式大量贮存,而且1克甘油三酯所产的能为糖类的2倍多(1克脂肪能产生能量约9千卡)。有些动物的皮下贮存甘油三酯有两种主要功能,既作为重要的能量贮存方式,也是对付极低温度的“绝热层”。海豹、海象、企鹅和其他北极及南极的温血动物的皮下,都填充了丰富的甘油三酯(参见“脂肪酸”条)。

脂肪zhifang

广义的脂肪又称脂质或脂类,其中包括中性脂肪和类脂质(磷脂、糖脂、固醇类等)。脂类是一类极复杂的化学物质,难溶于水而易溶于有机溶剂。由于生理功能不同,机体中的脂肪可分为两类:一类是作为基本组织结构的脂质,如磷脂、胆固醇、脑苷脂等,是组成细胞特定结构并赋予细胞特定生理功能必不可少的物质,很少受膳食脂肪的影响而变动,含量稳定,故称定脂。体内常见的磷脂有卵磷脂、脑磷脂、神经磷脂等,在肝脏、大脑和神经组织中含量最多。卵磷脂中的胆碱与脑组织中的乙酸结合,成为“乙酰胆碱”,与学习和记忆功能有关。另一类脂肪为储存脂肪,是体内过剩能量的一种储存形式,易受膳食脂肪的影响而变动。当体内糖和蛋白质过剩时,可转变成脂肪贮存在体内;当入不敷出时,贮存的脂肪被动用,以补偿能量的消耗。这类脂肪由于含量变动较大,故称动脂。一般论及脂肪的生理功能时是指动脂。

脂肪Zhifang

由碳、氢、氧三种元素组成。它可分为中性脂肪和类脂(磷脂和固醇类等)两大类。我们平时说的脂肪是指中性脂肪,它是由一个分子甘油和三个分子脂肪酸组成,故又称甘油三脂。脂肪是构成机体组织细胞的重要成分之一。它能供给机体热能,维持体温,保护脏器、关节及神经免受外伤,促进人体对脂溶性维生素的吸收(如维生素A、D、E、K),增进食欲等。机体缺乏脂肪容易患脂溶性维生素缺乏症,但过量脂肪可影响蛋白质、钙、铁和多种维生素的吸收。在正常情况下,7—10岁儿童每日供给脂肪的量为每公斤体重3克;10—14岁为每公斤体重2.5—1.5克。从事体育锻炼时,脂肪需要量增加,成年运动员应按每天每公斤体重1.6—2.2克供应;如果从事长跑、超长跑、滑冰、游泳等运动,脂肪的摄入量还应增加。儿童少年从事体育锻炼时,脂肪的需要量比成年人多,应按每天每公斤体重三克左右供应。但在一般情况下应适当控制脂肪的摄入量,不应叫学生吃过于油腻的食物。因为脂肪较难消化,吃得过多不仅会增加消化道的负担,同时使体内储存脂肪增加,影响运动。应增加植物油的摄入,如黄豆、核桃、芝麻、瓜子等。因为植物油可以增加必需脂肪酸和磷脂的摄入,这有利于促进儿童少年的生长发育。

无机盐主要功用缺乏症状
构成骨骼和牙齿的主要成
分。能促进血液凝固,维护
心脏正常搏动, 使肌肉收
缩, 神经兴奋性等
骨骼和牙齿发育
不良, 出现佝偻
病、 手足搐搦症
是构成骨骼、牙齿和神经组
织的重要成分,是人体细胞
核蛋白和体内各种酶的主
要成分
佝偻病
构成血红蛋白、 肌红蛋白、
细胞色素和酶的重要成分,
帮助氧的运转
贫 血
构成甲状腺素的主要成分。
可调节机体新陈代谢,促进
婴幼儿生长发育
甲状腺肿、克汀病
(矮小、 呆傻)


参与机体的新陈代谢、胃酸
的生成,维持体内水、渗透
压和酸碱平衡并增强神经、
肌肉的兴奋性
机体中缺乏钠出
现酸中毒,缺乏氯
呈碱中毒
体内多种酶和胰岛素的重
要组成成分,与蛋白质、核
糖核酸合成有关。有促进伤
口愈合的功用
儿童生长缓慢,食
欲不振,创伤不易
愈合,神经系统功
能异常

脂肪

又称“三酸甘油酯”、“甘油三酯”。脂肪酸的甘油三元酯。脂类物质中含量最丰富的一类,如植物油和动物脂。生理功用主要是氧化供能。也是植物和动物细胞贮脂的主要组分。一般在室温下为固态的称为脂,液态的称为油,有时也统称为油脂或中性脂。是动植物生命活动的主要能源之一,亦能帮助脂溶性维生素吸收。植物种子中的油脂是一种贮备养料,可满足种子发芽时的需要。

脂肪

亦称“真脂”或“中性脂肪”。是甘油和脂肪酸所构成的酯。机体内的脂质分为组织脂质和贮存脂质两大部分。组织脂质主要是类脂质(包括胆固醇、磷脂等),是组织细胞的组成成分,在人体饥饿时也不减少,不能成为能源。贮存脂质主要是脂肪。在全部贮存脂质中,脂肪约占98%;其中不仅有来自食物的所谓外源性脂肪,还有来自糖和氨基酸在体内转变成的所谓内源性脂肪。所以脂肪是体内各种能源物质贮存的主要形式。脂肪通常贮存于皮下组织、内脏器官周围、胃肠系膜、肌间质等处。脂肪的血存量很大,成年男子一般占体重的10~20%,女子更多一些。贮存的脂肪在需要时可迅速分解为甘油和脂肪酸,经血液输送到各组织器官以供利用。机体摄入并吸收过多的能源物质并活动量较小时,则脂肪贮存增多,体重增加;若能源物质供应不足或活动量过大,则使脂肪贮存减少,体重减轻。脂肪作为能源物质的另一个特点是氧化时释放能量较多,一克脂肪氧化所释放的能量约为1克糖或蛋白质在体内氧化时所释放能量的2倍。在正常情况下,人体所消耗的能源物质有40~50%来自体内的脂肪(从食物中摄取的糖,部分已转化为体内的脂肪);在短时间饥饿情况下,机体的能量主要由脂肪供给。脂肪酸可直接供很多组织利用,也可在肝内生成酮体再供其它组织利用。不但骨骼肌、心肌等可利用脂肪酸和酮体,在饥饿时脑组织也可以利用。所以脂肪也是体内重要的能源物质,但不能在缺氧情况下供能。脂肪不易导热,脂质柔软,具有保持体温和缓冲机械撞击的作用。此外,脂肪是脂溶性维生素的溶剂,所以在促进脂溶性维生素吸收方面具有重要意义。

脂肪fat

又称真脂、油脂、甘油酯和脂酰甘油。甘油和脂肪酸所形成的酯。包括含一个脂肪酸的单酰甘油(甘油一酯)、含2个脂肪酸的二酰甘油(甘油二酯)和含3个脂肪酸的三酰甘油(甘油三酯)。前2种是脂肪合成和分解的中间物,在生物体内含量很少,通常所称的脂肪主要是指三酰甘油(甘油三酯)。结构式如下。分子中3个脂酰链有长与短、饱和与不饱和之区别。完全相同的称为单纯三酰甘油,完全不同或不完全相同的则称为混合三酰甘油。生物体内存在的脂肪多数是混合三酰甘油的混合物。不含杂质的脂肪为无色、无臭、无味,呈中性;不溶于水,溶于乙醚、氯仿、苯、丙酮及热乙醇等有机溶剂中;可被酸、碱或脂肪酶所水解,被光、热、氧或微生物作用而酸败;能与氢(需加压和催化剂)、溴或碘起加成反应。在植物的种子、果实和动物的脂肪组织中含量丰富。是机体的贮藏物质和能源。也是人类的食用油和食品、肥皂等工业的原料。

随便看

 

开放百科全书收录579518条英语、德语、日语等多语种百科知识,基本涵盖了大多数领域的百科知识,是一部内容自由、开放的电子版国际百科全书。

 

Copyright © 2000-2025 oenc.net All Rights Reserved
更新时间:2025/11/10 10:00:49