网站首页  百科知识

请输入您要查询的百科知识:

 

词条 脂类
类别 中文百科知识
释义

脂类zhilei

指用非极性溶剂(如氯仿或乙醚)从生物细胞或组织中提取的、不溶于水的油性有机物,又称脂质。脂类有几种不同的分类方法。主要有酰基甘油类(中性脂肪),磷脂类、鞘脂类、固醇与脂肪酸构成的酯(类固醇)及蜡。其他已知的脂类在动物组织中较少,如萜类由5碳单位异戊二烯构成,是植物芳香油和色素的主要成分。脂溶性维生素A、E、K是异戊二烯的衍生物。脂类有多种生物功能。最丰富的脂类是三酰基甘油(脂肪),它们是多数生物的主要燃料,是化学能的最重要贮存形式。磷脂等具有极性的脂类是细胞膜的主要成分,细胞膜的许多性质是其极性脂类成分的反映。

脂类lipids

一大杂类难溶于水而易溶于亲溶剂的生物物质。包含许多在化学上彼此无关的化合物。通常将脂类分为两大类:一类是可以皂化的脂,称为复杂脂,包括酰基甘油酯类、磷酸甘油酯类、鞘脂类和蜡等; 一类是不可皂化的脂,称为简单脂,包括萜类化合物、甾类化合物和前列腺素类等。
复杂脂
酰基甘油酯类 由脂酸和甘油所形成的酯。三酰甘油酯是酰基甘油中的大类。其结构如下:


酰基甘油酯可皂化,形成甘油和脂酸的钠盐(肥皂)。在动物、植物体内三酰甘油是作为细胞贮脂的主要组分。在自然界也存在二酰甘油和单酰甘油,但含量极少。其他酰基甘油类如烷基醚酰基甘油及糖基酰基甘油两类,它们有烷基醚二酰甘油、半乳糖基酰基甘油以及鲨肝醇等。其结构如下。


磷酸甘油酯类 另一类含甘油的脂类。磷酸以酯键与甘油结合。最重要的是卵磷脂和脑磷脂,前者碱基为胆胺,后者碱基为乙醇胺,所以卵磷脂又称磷脂酰胆碱(胆碱磷酸甘油酯),脑磷脂又称磷脂酰乙醇胺。它们的化学结构如下:


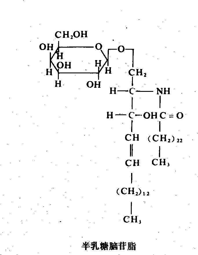
鞘脂类 主要成分是鞘氨醇或相应的碱。它又分碱性鞘脂、中性鞘脂、酸性鞘脂和糖鞘脂。主要有神经酰胺、半乳糖脑苷脂、唾液酸(N-乙酰神经氨酸)、N-乙酰D-半乳糖胺。它们的结构如下:


蜡 由高级脂酸和高级一元醇所结合的脂。一般是固体,不溶于水,温度稍高时变软。按来源可分为植物蜡和动物蜡。植物蜡如巴西棕榈蜡、糠蜡; 动物蜡有蜂蜡、羊毛内蜡、虫蜡、鲸蜡。此外尚有矿蜡,如石蜡、地蜡。
简单脂 简单脂的特点是都不含脂酸,它们的结构十分复杂。

生物。萜类分类主要根据异戊二烯的数目来决定。2个异戊二烯构成的萜称单萜;3个异戊二烯构成的萜称倍半萜;4个异戊二烯构成的萜称二萜,三萜、四萜,依此类推。萜类有线状、环状以及二者兼有形式。各类重要萜的化学结构如下:


甾类化合物 基本结构为环戊烷多氢菲。在生物体内,它可以游离状态或以与脂酸结合成酯的形式存在。重要的甾类化合物有胆固醇、麦角固醇,重要的衍生物有胆汁酸。它们的化学结构为:


前列腺素类 其基本结构是由廿碳不饱和脂酸衍生出来的前列腺酸。重要的前列腺素有前列腺素A1(PGA1)、前列腺素B1 (PGB1)、前列腺素E1(PGE1)、前列腺素F1α(PGF1α)和前列腺素F2α(PGF2α)。它们的化学结构为:

脂酸 复杂脂类的特有组分。从动物、植物和微生物中分离出100多种脂酸,绝大多数都是长烃链和一个末端羧基,少数有支链。脂酸可分饱和脂酸与不饱和脂酸两类。不饱和脂酸含一个或多个双键。多种脂酸的区别主要在于碳氢链的长度及不饱和双键数目和位置。体内脂酸其碳原子多为偶数,链长一般由C2至C38组成,但C16~C18的脂酸占优势。在农作物中,最常见的重要饱和脂酸有月桂酸、豆蔻酸、棕榈酸和硬脂酸,不饱和脂酸有油酸、棕榈油酸、亚油酸、亚麻酸、桐酸、花生四烯酸和蓖麻酸等。它们的分子结构如下:


脂酸均能溶于乙醚、氯仿、苯和酒精中,在水中的溶解度随分子量增加而减小。低碳数的脂酸是无色液体,易溶于水,有刺激气味; 中碳数的脂酸是油状液体,微溶于水,在有乳化剂(如肥皂、胆汁酸盐)的存在下,可与水混合成乳状液;高碳数的脂酸是固体,不溶于水,其熔点则随碳原子数目的增加而上升,有折光性。不饱和脂酸的折光率一般比饱和脂酸的折光率高。脂酸与碱(NaOH,NaHCO3)作用生成盐,脂酸与醇作用可生成酯。在催化剂(Ni等)的影响下,不饱和脂酸的双键上可加氢而成饱和脂酸。卤族元素中的碘、溴同样可加入不饱和脂酸的双键上,从而产生饱和的卤化脂。从加碘数目的多少,可以推测油脂中不饱和的程度。油脂的不饱和度用碘价表示,即100克脂类样品中所能吸收碘的克数。不饱和脂酸与氧作用,可产生脂酸的过氧化物; 过氧化物可进一步分解产生醛及酸,放出臭味,即酸败。

脂类

脂类包括脂肪、磷脂和胆固醇等,它们都难溶于水。下面分别介绍这三种脂类物质。
❶脂肪:脂肪由无数个甘油和脂肪酸结合而成,也是人体的燃料,和糖类比较,糖供给的能量占人体所需能量的绝大部分,脂肪只供给一小部分。但脂肪在体内的储存量大,占成年人体重的10%—20%,而糖的储存量不到体重的1%。所以脂肪是人体的主要后备燃料。
❷磷脂:磷脂的结构与脂肪的结构很类似,但除了甘油和脂肪酸外,还有磷酸和胆碱(或胆胺)。磷脂容易和其他物质结合,例如磷脂和蛋白质结合形成脂蛋白,是构成细胞膜的成分之一。
❸胆固醇:胆固醇存在于全身组织内,其中,胆汁、脑和内脏中含量特别多。胆固醇在人体许多组织中均能合成,它在体内可以转变为许多重要物质,例如,皮肤内的胆固醇在阳光照射下可生成维生素D,胆固醇又是合成性激素和肾上腺皮质激素的原料。

脂类lipids

又称脂质。脂肪和类似脂肪物质的统称。以脂肪为主体分为真脂(脂肪)和类脂(类似脂肪的其他脂类化合物)两类;按组成和结构分为单纯脂(脂肪、蜡)、复合脂(磷脂、糖脂)和异戊二烯脂(萜、固醇)3类。单纯脂与复合脂为可皂化的脂,异戊二烯脂为不可皂化的脂。它们在结构和功能上并不同类,但分子中碳氢比例都较高,易溶于非极性或弱极性的有机溶剂而难溶于水,在体内往往互溶或结合在一起,代谢联系较为密切。是生物体的重要组成成分,具有多种生理功能。

脂类

一类难溶于水而易溶于非极性溶剂的有机生物分子。主要由C、H、O3种元素组成,某些脂类含有N和P元素。脂类的基本成分是脂肪酸,脂肪酸是14~22个碳原子组成的链。一些脂类的另一组成成分是甘油,甘油是3个碳原子连成的一条直链,每个碳原子与一个OH根相连。脂类通常分为2大类:不可皂化的脂类,即简单脂;可以皂化的脂,即复杂脂。脂肪和油脂都是由3个分子脂肪酸和1个分子甘油结合而成。

随便看

 

开放百科全书收录579518条英语、德语、日语等多语种百科知识,基本涵盖了大多数领域的百科知识,是一部内容自由、开放的电子版国际百科全书。

 

Copyright © 2000-2025 oenc.net All Rights Reserved
更新时间:2026/5/19 17:10:16