网站首页  百科知识

请输入您要查询的百科知识:

 

词条
类别 中文百科知识
释义

胺an

氨分子中的氢原子被烃基取代的产物。按取代烃基的数目可分为一级胺 (伯胺)、二级胺(仲胺)、三级胺 (叔胺)按烃基的类型又可分为脂肪胺和芳香胺 (氮原子与苯环直接相连)。按氨基数则分为一元胺、二元胺和多元胺。
胺一般有一种令人不愉快的气味。胺具有碱性,脂肪胺的碱性比氨强,芳香胺的碱性比氨弱,胺可与强酸反应生成盐。胺容易发生氧化反应,如脂肪胺可以被过氧化氢氧化:


芳香胺更易被氧化,在空气中放置使氧化得到复杂产物,其颜色由黄至红,甚至变黑色。
脂肪伯胺与亚硝酸反应放出氮气:


R—NH2+HNO2→ROH+N2↑+H2O

此反应用于检测有机物中的氨基。芳香伯胺在较低温度下与亚硝酸反应得到重氮盐 (参见“重氮盐”)。仲胺与亚硝酸反应得到N-亚硝基胺,黄色物质,有致癌作用:


脂肪叔胺与亚硝酸生成盐:


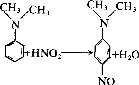
芳香叔胺与亚硝酸发生对位亚硝基取代反应:



N,N-二甲基苯胺 对亚硝基-N,N-二甲基苯胺

用亚硝酸可以鉴别各种胺。
胺在自然界广泛存在,氨基酸脱羧可以得到胺。如:


脂肪胺可由卤代烃与氨作用制备:



脂肪胺也可由酰胺、腈、肟还原制得:



由芳香族硝基化合物还原可制得芳香胺。
随便看

 

开放百科全书收录579518条英语、德语、日语等多语种百科知识,基本涵盖了大多数领域的百科知识,是一部内容自由、开放的电子版国际百科全书。

 

Copyright © 2000-2025 oenc.net All Rights Reserved
更新时间:2026/1/12 18:29:02