网站首页  百科知识

请输入您要查询的百科知识:

 

词条 胸腺嘧啶
类别 中文百科知识
释义

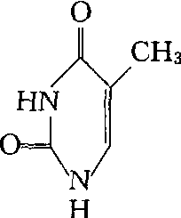
胸腺嘧啶thymine,Thy,T.

2,4-二氧-5-甲基嘧啶。结构式如下。是DNA中4种主要碱基之一,也存在于tRNA中,也是各种胸苷酸的组成分。其N1与脱氧核糖或核糖C1以β-糖苷键连接而成脱氧胸苷或胸苷。

随便看

 

开放百科全书收录579518条英语、德语、日语等多语种百科知识,基本涵盖了大多数领域的百科知识,是一部内容自由、开放的电子版国际百科全书。

 

Copyright © 2000-2025 oenc.net All Rights Reserved
更新时间:2025/11/10 13:03:14