网站首页  百科知识

请输入您要查询的百科知识:

 

词条 羟胺
类别 中文百科知识
释义

羟胺qiangan

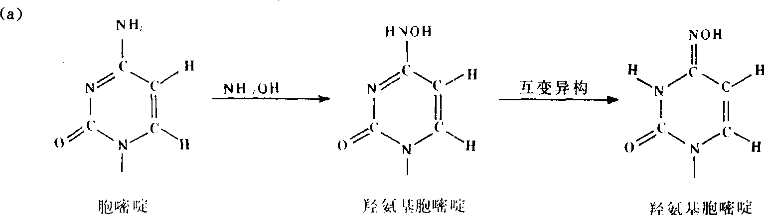
分子式NH2OH,是一种化学诱变剂。通过修饰胞嘧啶(C),使在DNA合成过程中碱基发生错配,导致GC对转变为AT对,从而诱发基因突变。人工诱变基因是创造动植物或微生物新类型的一种手段(图606)。


图606 羟胺的诱变作用
(a)在胞嘧啶上加1个羟基,生成羟氨基胞嘧啶。
(b)此修饰胞嘧啶进行互变异构反应,
使之可与腺嘌呤(A)配对。
(c)结果在合成DNA
时用AT对代替了GC对

随便看

 

开放百科全书收录579518条英语、德语、日语等多语种百科知识,基本涵盖了大多数领域的百科知识,是一部内容自由、开放的电子版国际百科全书。

 

Copyright © 2000-2025 oenc.net All Rights Reserved
更新时间:2025/11/10 15:42:40