网站首页  百科知识

请输入您要查询的百科知识:

 

词条 维生素d
类别 中文百科知识
释义

维生素Dweishengsu D

英文缩写VD,又名“抗佝偻病维生素”或“骨化醇”。脂溶性维生素之一。包括6种类固醇衍生物,以VD2和VD3为主。VD2又名麦角钙化醇,由食物中的麦角固醇经紫外线照射转化而成;VD3又名胆钙化醇,由存在于皮肤下有胆固醇衍生物(7-脱氢胆固醇)经紫外线照射生成,或由食物摄入。鱼肝油、卵黄、乳类等富含VD。一般情况下,只要保证足够的阳光照射,不易发生VD缺乏症。VD2、VD3本身生物活性极低,经肠粘膜吸收后,在肝脏中生成一羟基衍生物(25-羟VD),再与血浆中的一种球蛋白结合,运送至肾脏中进一步“加工”,生成二羟基衍生物(1,25-二羟VD),才具有高度的生物学活性,到小肠和骨中发挥作用。VD的功能主要是调节体内钙、磷代谢,促进骨骼正常生长发育。如促进小肠对钙、磷的吸收,调控肾脏对磷的排出和回收,维持血中钙、磷浓度的正常水平,并促进成骨细胞形成,参与骨骼和牙齿的正常钙化等。VD缺乏症常发生于阳光照射不足或生长过快而VD摄入不足的婴幼儿。由于钙磷吸收障碍,使牙齿、骨骼发育迟缓、畸形,出现“X”形腿或“O”形腿、“方颅”、“鸡胸”、“串珠胁”等症状,并因血钙过低而表现出神经系统不稳定的种种症状,如易惊、爱出汗、手足抽搐等,临床上称为佝偻病。若成人缺乏VD,则可发生骨软化症。对于VD缺乏症最好的治疗、预防措施是多吃富含VD及其前体的食物,多晒太阳;需要服用VD药物时,应注意补足钙量。过量摄入VD制剂会引起中毒症状,可有恶心、呕吐、腹泻、血钙过高、骨质破坏、动脉硬化、异位钙化等,严重者甚至可出现肾功能衰竭。因此,要按医生规定的剂量服用。

维生素D

类固醇化合物,具有抗佝偻病作用,故称为抗佝偻病维生素。维生素D可促进钙磷在肠道的吸收,并将钙磷转送到骨组织中去,促进骨骼钙化。在缺乏维生素D的情况下,骨骼的钙化受到损害,儿童形成佝偻病,成年人形成骨软化症。维生素D的主要来源有二:
❶内源性:人体内可将胆固醇转变为7—脱氢胆固醇,贮存于皮下,在日光中紫外线(波长240—300纳米)照射下,7—脱氢胆固醇可以转变为维生素D3(胆骨化醇)。多晒太阳是预防维生素D缺乏的主要方法之一。
❷外源性:自然界中,虽然鱼肝油中含量较多,但不能作为主要食物。食物中以肝、鱼类、蛋黄、奶油、乳类等含量稍多,若有偏食、素食、人乳不足等影响,自食物中摄取的维生素D量不能满足需要。维生素D的计量单位为国际单位(I.U.)。1国际单位维生素D,相当于0.025微克维生素D。婴儿、儿童、青少年及孕妇、乳母,每日膳食供给量为400国际单位。

维生素Dweishengsu D

类固醇化合物,具有抗佝偻病作用,故称为抗佝偻病维生素。维生素D可促进钙磷在肠道中的吸收,并将钙磷转送到骨组织中去,促进骨骼钙化。在缺乏维生素D的情况下,骨骼的钙化受到损害,儿童形成佝偻病,成年人形成骨软化症。维生素D的主要来源有二:
❶内源性:人体内可将胆固醇转变为7-脱氢胆固醇,贮存于皮下,在日光中紫外线(波长240~300nm)照射下,7-脱氢胆固醇可以转变为维生素D3(胆骨化醇)。多晒太阳是预防维生素D缺乏的主要方法之一。
❷外源性:自然界中,虽然鱼肝油中含量较多,但不能作为主要食物。食物中以肝、鱼类、蛋黄、奶油、乳类等含量较多。若受偏食、素食、人乳不足等影响,自食物中摄取的维生素D量就不能满足需要。维生素D的计量单位为国际单位(IU)。1国际单位维生素D,相当于0.025微克维生素D。婴儿、儿童、青少年及孕妇、乳母,每日膳食维生素D供给量应为400IU。

维生素D

脂溶性维生素。显示钙化固醇生物活力的所有甾体化合物总称。结构和固醇相似,具有防止和治疗软骨病的活力,故又称抗佝偻病维生素。它们可以在紫外辐射下从固醇衍生而来,假如机体能经常充分地接触日光中的紫外光,就不必再从饮食中获取。常见较重要的有维生素D2和维生素D3

维生素Dvitamin D

维生素D2、D3、D4和D5的总称。化学结构本质是一类环戊烷多氢菲的衍生物。以D2〔24-甲基-9,10-开联胆甾烷-5,7,10(19),22-四烯-3-醇〕和D3〔9,10-开联胆甾烷-5,7,10(19)-三烯-3-醇〕较为重要。无色晶体,不溶于水,溶于有机溶剂,耐酸碱,不易氧化。能调节体内钙、磷代谢,保持血液和组织液中钙、磷的正常浓度。对促进骨骼正常发育,维持神经系统稳定和正常心脏活动有重要作用。缺乏时,钙、磷吸收会发生障碍,骨、牙不能正常发育,手足会出现抽搐、严重者导致佝偻病。存在于鱼肝油、奶和蛋类等动物性食物中。植物性食物中的麦角固醇,或人体和动物皮下的7-脱氢胆固醇,在日光或紫外光照射下可分别转变成维生素D2和D3

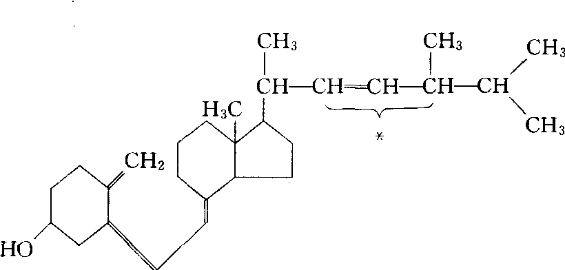
维生素D2

*为(CH2)3时,即为维生素D3

随便看

 

开放百科全书收录579518条英语、德语、日语等多语种百科知识,基本涵盖了大多数领域的百科知识,是一部内容自由、开放的电子版国际百科全书。

 

Copyright © 2000-2025 oenc.net All Rights Reserved
更新时间:2026/1/12 19:56:18