网站首页  百科知识

请输入您要查询的百科知识:

 

词条 维生素b
类别 中文百科知识
释义

维生素B1weishengsu B1

英文缩写VB1。又称“硫胺素”、“抗炎素”、“抗脚气病维生素”。B族维生素之一。VB1主要存在于种子外皮及胚芽中,酵母、瘦猪肉、米糠、麦麸、大豆等富含VB1。在体内经特异性的酶催化,VB1可与ATP作用,生成焦磷酸硫胺素(TPP)。TPP是糖代的一种重要的辅酶。所以,缺乏VB1时,使糖代谢受阻,一方面导致神经组织的供能不足,另一方面,使糖代谢过程中产生的丙酮酸、乳酸在血、尿和组织中堆积,从而引起多发性神经炎,并影响心肌的代谢及功能。患者易怒、健忘、食欲不振、手足麻木、皮肤粗糙、肌肉疼痛萎缩,严重时可产生手足腕下垂、下肢水肿和心力衰竭,临床上称为脚气病。同时VB1还能抑制胆碱酯酶的活性,使重要的神经介质乙酰胆碱不被破坏,从而保持神经的正常兴奋程度。当VB1缺乏时,则会导致胃肠蠕动慢、消化液分泌不足、消化不良等症状。VB1缺乏症多因膳食不合理(如以精米为主,又过度淘洗),烹调不当(如捞饭时弃丢米汤,煮粥时加碱等),使VB1摄入量减少,长期发热或患消耗性疾病,也可导致VB1缺乏。我国早在隋唐时便已使用富含VB1的“谷皮”来治疗脚气病了。目前做为药物使用的VB1多为化学合成的硫胺素盐酸盐,除治疗VB1缺乏症外,还用于许多疾病的辅助治疗。

维生素B1

又称硫胺素,是抗脚气病维生素。维生素B1溶于水,在酸性溶液中比较稳定,但在碱性溶液中极易被破坏,在烹调时应注意减少损失。每日需从膳食中摄人适量的硫胺素,因它在体内不能贮存,膳食中无供应时则体内含量迅速下降。维生素B1是体内很多酶系统的辅酶,缺乏时,葡萄糖氧化率降低,神经细胞不能获得足够的能量供应;糖代谢的中间产物丙酮酸在组织内堆积,使神经遭受损害。维生素B1还有促进儿童生长和增加食欲的功能。食物中以谷类、豆类及肉类食物的含量较为丰富,籽粒的胚和酵母是硫胺素的最好食物来源。粮食碾磨愈精,加工粮中硫胺素的含量愈低。小麦粉出粉率为85%,80%,70%时,其硫胺素的保存率分别为89%,63%,20%;标准米、九二米、中白米和上白米的硫胺素保存率分别为59%,52%,42%,37%。母乳中维生素B1的含量与乳母的膳食结构有关,若以精白米为主食,缺少豆类、新鲜蔬菜、肉类等副食,乳母本人和婴儿可发生维生素B1缺乏症。煮稀饭加碱,或捞饭把米汤弃去,均可致大量的维生素B1损失。

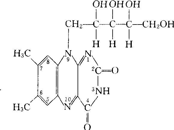
维生素B12weishengsu B12

一种含钴的维生素,预防和治疗恶性贫血。水溶性,耐热。其水溶液在弱酸条件下(PH4.5~5.0)相当稳定,而在强酸强碱条件下极易分解。日光、氧化剂或还原剂均可使其破坏。缺乏维生素B12可致DNA合成障碍,红细胞是体内更新较快的细胞,而细胞分裂增殖的基本条件是DNA合成,故缺乏时可致巨幼红细胞性贫血(见“营养性巨幼红细胞性贫血”)。人体所需的维生素B12必须从食物中摄取。由于植物性食物除大豆及麦类外,几乎不含维生素B12,故素食者易出现维生素B12缺乏。各种动物性食品,主要是内脏,如肝、肾所含B12较丰富,肉类及海产类次之,蛋及乳类含量较少。发酵豆类食品,尤以豆腐乳含B12丰富。


维生素B2weishengsu B2

又称核黄素,水溶性维生素。核黄素在酸性和中性溶液中颇能耐热和耐氧化,但在碱性溶液中则很快分解。在任何酸、碱性溶液中核黄素均易遭受可见光或紫外线的破坏。维生素B2是机体中许多重要辅酶的组成成分,这些辅酶与特定的蛋白质结合,形成黄素蛋白。黄素蛋白是组织呼吸过程中不可缺少的物质。机体中如果缺少维生素B2,人体内的物质代谢就会紊乱,表现出多种多样的症状(见 “核黄素缺乏症”)。核黄素存在于多种食品中,一般动物性食品含量较植物性食品高,肝脏、奶类、蛋黄、大豆以及绿叶蔬菜含有较丰富的核黄素。酵母含核黄素最丰富,每100克酵母约含5.45毫克维生素B2(见表)。在加工烹调过程中,温度愈高,加工时间愈长,维生素B2的保存率就愈低。例如,碗蒸米饭,维生素B2的保存率为100%;捞蒸米饭,保存率为50%。炒肉丝,保存率为79%,蒸丸子保存率为13%,特别是烹调时加碱,可使维生素B2遭到破坏。

儿童常用食物内核黄素含量 (毫克/100克)

食品含量食 品含量
猪肝2.11稻米(粳)0.06
牛肉0.15小麦粉(标准粉)0.06
瘦猪肉0.16黄豆0.25
猪肉(肥瘦)0.12红小豆0.16
牛乳0.13大白菜0.04
鸡蛋0.31油菜0.11
大黄鱼0.10菠菜0.13
带鱼0.09苹果0.01


维生素B1weishengsu B1

又称硫胺素,是抗脚气病维生素。维生素B1溶于水,在酸性溶液中比较稳定,但在碱性溶液中极易破坏,在烹调时应注意减少损失。每日需从膳食中摄入适量的硫胺素,因它在体内不能贮存,膳食中无供应时则体内含量迅速下降。维生素B1是体内很多酶系统的辅酶,缺乏时,葡萄糖氧化率降低,神经细胞不能获得足够的能量供应;糖代谢的中间产物丙酮酸在组织内堆积,使神经遭受损害。维生素B1还有促进儿童生长和增加食欲的功能。食物中以谷类、豆类及肉类食物的含量较为丰富,籽粒的胚和酵母是硫胺素的最好食物来源。粮食碾磨愈精,加工粮中硫胺素的含量愈低。小麦粉出粉率为85、80、70%时,其硫胺素的保存率分别为89、63、20%;标准米、九二米、中白米和上白米的硫胺素保存率分别为59、52、42、37%。母乳中维生素B1的含量与乳母的膳食结构有关,若以精白米为主食,缺少豆类、新鲜蔬菜、肉类等副食,乳母本人和婴儿可发生维生素B1缺乏症(见“维生素B1缺乏症”)。煮稀饭加碱,或捞饭把米汤弃去,均可致大量的维生素B1损失。


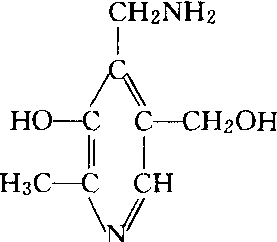
维生素B6weishengsu B6

包括吡哆醇、吡哆醛和吡哆胺三种化合物,溶于水,对热稳定,但为碱和紫外线分解。维生素B6是转氨酶辅酶的重要成分。它的主要功能是促进氨基酸及脂肪的代谢,曾被誉为氨基酸代谢维生素。维生素B6广泛存在于各种食物中。肝、蔬菜、水果、肉类、全麦、全谷中含量丰富。去糠和麸皮后维生素B6可损失达80%以上。因溶于水,烹调可使食物内的维生素B6减少25%左右。单独维生素B6缺乏症少见,一般伴有其它维生素B族的缺乏(见“维生素B6缺乏症”)。

维生素B11vitamin B11

又称叶酸。B族维生素的一种。为蝶呤啶对氨基苯甲酰谷氨酸。微溶于水,水溶液中易被光破坏。体内被还原成二氢叶酸和四氢叶酸,在代谢反应中起一碳基团载体的作用。缺乏的结果,常出现巨细胞性贫血等血液方面疾病以及机体抗病力下降。绿叶中大量存在,菜花、酵母、肝和肾中含量较丰富。


维生素B7vitamin B7

见“生物素”。


维生素B2vitamin B2

又称核黄素。B族维生素的一种。化学结构为6,7-二甲基-9-(D-1-核糖醇基)异咯嗪。橙黄色,水溶液有黄绿色荧光,对光、碱不稳定,酸性溶液中相当稳定,体内以黄素单核苷酸和黄素腺嘌呤二核苷酸两种形式存在,作一些氧化还原酶的辅基。在糖、脂、蛋白质和核酸代谢中起重要的作用。缺乏时,会妨碍细胞氧化作用,物质代谢发生障碍,出现精神萎靡、生长减退,以及各种黏膜和皮肤的炎症等。哺乳动物肠道和昆虫体内寄生的一些微生物能合成核黄素,从而可被动物吸收利用。肝、肾、口蘑、紫菜、河蟹、鳝鱼和桂圆等是其最好的来源。


维生素B3vitamin B3

又称泛酸或遍多酸。B族维生素的一种。化学名称为α、γ-二羟基-β,β-二甲基丁酰β-丙氨酸。淡黄色油状物,对酸、碱、热、氧均不稳定,中性溶液中稳定。体内以辅酶A的形式出现,在糖、脂和蛋白质代谢中,主要起传递酰基的作用,还可促进维生素B2的利用,以及用于合成胆固醇和脂肪酸。缺乏时,可引起呕吐、肌肉痉挛以及肠胃疾病等。存在于所有动物和植物组织中,酵母、绿色植物、粮食、肉类、动物内脏、蛋黄和乳类等均是其重要的来源。


维生素B5vitamin B5

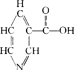
B族维生素的一种,曾称维生素PP。烟酰胺(吡啶-3-甲酰胺)和烟酸(吡啶-3-羧酸)的统称。白色,对热、氧、光、酸和碱均稳定。体内以烟酰胺腺嘌呤二核苷酸和烟酰胺腺嘌呤二核苷酸磷酸形式,参与糖、脂、核酸和蛋白质的代谢反应,与能量代谢关系尤为密切。缺乏时,会出现肌肉衰弱、消化不良、呼吸困难等症,严重时引起糙皮病以及痴呆等神经疾病,故又称它为抗癞皮病维生素。豆类、花生、果仁、肝、肉和鱼中都有,口蘑、酵母和米糠中含量较多。

烟酰胺

烟酸


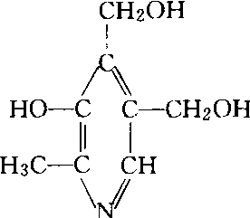
维生素B6vitamin B6

又称吡哆素。B族维生素的一种。包含吡哆醇、吡哆醛、吡哆胺3种化合物。吡哆醛的系统命名为:3-羟基-4-甲醛基-5-羟甲基-2-甲基吡啶。无色,对热、酸稳定,遇光、碱易破坏。在体内形成磷酸酯,多以磷酸吡哆醛和磷酸吡哆胺形式,参与氨基酸以及不饱和脂肪酸的代谢。缺乏时,会导致血糖降低、水肿、手脚麻木等皮肤、中枢神经系统和造血机构的损害。肝脏、肉类、果仁、豆类和一些水果中含量较多。

吡哆醛

吡哆胺

吡哆醇


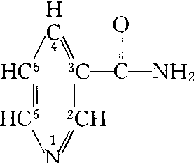
维生素B1vitamin B1

又称硫胺素。B族维生素的一种。化学结构式如下。3-(4-氨基-2-甲基嘧啶-5-亚甲基)- 5 -〔2-(羟乙基)-4-甲基〕噻唑。白色,极易溶于水,耐热,酸性溶液中稳定,中性或碱性溶液中易破坏。医药上常用的是其盐酸盐。体内以其焦磷酸酯(TPP)形式出现,对维持正常的糖、脂代谢具有重要作用。缺乏时,会出现疲倦、情绪不稳,进而神智混乱、心跳不规则,严重的出现神经炎、心肌衰弱等症状。蔬菜、乳类、肉类和鱼卵中均有,谷类、豆类的种皮和酵母中含量尤为丰富。

随便看

 

开放百科全书收录579518条英语、德语、日语等多语种百科知识,基本涵盖了大多数领域的百科知识,是一部内容自由、开放的电子版国际百科全书。

 

Copyright © 2000-2025 oenc.net All Rights Reserved
更新时间:2025/11/10 10:02:29