网站首页  百科知识

请输入您要查询的百科知识:

 

词条 经典金属电子论
类别 中文百科知识
释义

经典金属电子论jingdian jinshu dianzilun

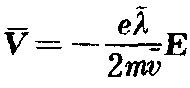
以经典力学、分子运动论(经典统计规律)及经典电磁学为基础解释导体导电的理论。由德国物理学家黎开于1898年和德国物理学家德鲁台于1900年分别提出。其模型为:金属结构由带正电的原子实组成结晶点阵,称为金属骨架(晶格)。自由电子可看作理想气体分子,它们作无规则热运动,称为电子气。当无电场时,电子气的热运动的平均速率为,其中m为电子质量,算出室温下电子的平均速率约为105米/秒。但由于电子热运动的无规则性,宏观上并不显出沿某个特定方向运动的趋势,单位时间内通过金属中任一面元的电量为零,所以没有电流。当金属中加上一恒定电场E后,由于电场力的作用,使自由电子在无规则热运动的基础上叠加一个定向速度。 所有电子热运动的平均效果为零,而所有电子的定向运动由于方向相同(逆场强方向),就形成了宏观电流。电子定向运动平均速度与场强的关系可如下求出:电子在运动过程中,不断与晶体点阵相碰撞,设两次碰撞间的平均路程为,所需平均时间为i,,ῡ是热运动的平均速率根据经典理论,得出。由于电流密度的大小与定向运动平均速率间的关系为j=ne,所以j=,令=σ,σ是一个正常数,由金属的性质决定,可看出它是电导率。
近代物理的实验和理论表明,微观粒子的行为并不服从经典力学规律,而是服从量子力学规律。由经典金属电子论计算出的电导率σ=虽然能定性地解释导体电阻率随温度的上升而增大的事实,但定量计算却与实验不符,实验结果是σ∝1/T,而根据上述计算σ∝1/,这是由于经典理论的缺陷造成的。

随便看

 

开放百科全书收录579518条英语、德语、日语等多语种百科知识,基本涵盖了大多数领域的百科知识,是一部内容自由、开放的电子版国际百科全书。

 

Copyright © 2000-2025 oenc.net All Rights Reserved
更新时间:2026/5/19 19:49:47