网站首页  百科知识

请输入您要查询的百科知识:

 

词条 组合恒等式
类别 中文百科知识
释义

组合恒等式zuhe hengdengshi

以组合数为主体的关于整数的一类恒等式,它是组合论的重要组成部分.组合数作为二项式的系数以及它本身在组合论中的含义,使得在数学的很多领域 (诸如数论、级数等) 中出现越来越多的各种不同的组合恒等式. 1972年美国出版了一本组合恒等式的表,其中收集了500多个组合恒等式,当然这远不是人们所知道的全部组合恒等式.
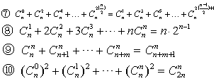
一些复杂的组合恒等式往往是通过几个基本的组合恒等式,经过归纳、递推等方法得到的. 基本组合恒等式有:

此外,还有如下具有重要性的组合恒等式:

在国内外数学竞赛中,时有所见关于计算含有组合数的和式的值以及关于这种和式性质的试题. 如果对组合数的性质和运算技巧缺乏了解,是无法解答的.
例如第16届IMO第3题; 证明不存在一个自然数n,使得被5整除.

随便看

 

开放百科全书收录579518条英语、德语、日语等多语种百科知识,基本涵盖了大多数领域的百科知识,是一部内容自由、开放的电子版国际百科全书。

 

Copyright © 2000-2025 oenc.net All Rights Reserved
更新时间:2026/5/18 22:39:34