网站首页  百科知识

请输入您要查询的百科知识:

 

词条 纹枯净
类别 中文百科知识
释义

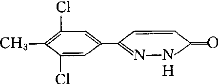
纹枯净diclomezine

杂环类杀菌剂。化学名称:6-(3,5-二氯-4-甲基苯基)-3(2H)哒嗪酮。化学结构式如下。原药白色结晶,25℃时水中溶解度0.74 mg/kg,23℃时在甲醇中溶解度2.0 g/L、丙酮中3.4 g/L。对光、酸、碱均稳定,固体状态或在常规溶剂中稳定。无燃烧、爆炸和皮肤刺激性。由日本三共公司开发,选择性杀菌剂。主要对丝核菌属引起的病害,如水稻纹枯病有特效,抑制纹枯菌菌丝生长,对病害具有保护和治疗作用。并有较长的残效,对其他菌核菌引起的病害亦有效,对植物安全。对大鼠急性口服LD50≥12 000 mg/kg,经皮LD505 000 mg/kg。无致突变、致畸作用。鲤鱼TLM(48 h)11.91 mg/kg。

随便看

 

开放百科全书收录579518条英语、德语、日语等多语种百科知识,基本涵盖了大多数领域的百科知识,是一部内容自由、开放的电子版国际百科全书。

 

Copyright © 2000-2025 oenc.net All Rights Reserved
更新时间:2026/5/19 18:13:47