网站首页  百科知识

请输入您要查询的百科知识:

 

词条 系统抽样
类别 中文百科知识
释义

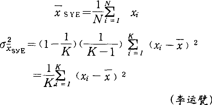
系统抽样systematic sampling

又名机械抽样。昆虫种群动态调查的抽样方法之一,即按事先规定的号码顺序,依次进行随机抽样的方法。抽样前对总体选取一个正整数K,将集团N个个体逐一排列:


1,2,3,………,K
K+1,K+2,K+3,………,2K
2K+1,2K+2,2K+3,……,33K


依次类推,直排到N为止。对号码1,2,3,……,K作随机抽样(只抽1个),若i入样,则K+i,2K+ i等皆入样(见随机抽样)。N个个体不一定恰好是K的整数倍,则各列个体数量后会有一行少于K,但当各列个体数超过50时(即N/K≥50),这个差可以略而不计。本抽样估值法(简记为SYE)为:


系统抽样systematic sampling

又称机械抽样。从含有N个单元的总体中,随机确定起点后,按一定间隔抽取n个样本单元组成样本,以估计总体的方法。特点是布点均匀、定位方便。工作程序:
❶收集航片或地形图资料,确定总体边界、面积(A)及样本单元的形状和大小;
❷确定样本单元数(见“随机抽样”);
❸计算点间距,依此用网点板在图上布点,第一个起点随机确定后,其余样点按点间距机械抽取;
❹用引线定位法,将图上样点在地面定位,并进行样地测设和每木调查;
❺总体估计。在设计森林调查方案时要注意防止周期性对系统抽样的影响,如样点间距与河流、山脉走向、坡向、坡位、线状地物等相吻合时会导致总体估计值产生偏差。

随便看

 

开放百科全书收录579518条英语、德语、日语等多语种百科知识,基本涵盖了大多数领域的百科知识,是一部内容自由、开放的电子版国际百科全书。

 

Copyright © 2000-2025 oenc.net All Rights Reserved
更新时间:2026/5/18 21:50:24