网站首页  百科知识

请输入您要查询的百科知识:

 

词条 糖类
类别 中文百科知识
释义

糖类tanglei

是多羟基醛,酮或水解时产生这类化合物的物质,是自然界分布广泛、数量最多的有机化合物。多数糖类的碳、氢、氧之比是1:2:1,可写成通式(CH2O)n,如葡萄糖为C6H12O6,故也叫做碳水化合物。虽然有些糖类的结构并不符合这个通式,如脱氧核糖为C5H10O4,而且有些糖除含有碳、氢、氧外,还含有氮、磷或硫元素。人类、大多数动物以及许多微生物所摄入总能量的主要部分是糖类。糖类也是利用太阳能由二氧化碳和水合成糖的绿色植物和其他光合生物的代谢中心。通过光合作用所产生的大量淀粉和其他糖,是动植物和微生物非光合细胞的最终能源和碳源。糖类的其他的重要生物功能还有:淀粉和糖原是葡萄糖的贮藏形式;不溶的多糖是植物和微生物细胞壁以及动物结缔组织和外壳的支撑物,其他糖类还有滑润骨关节、防止细胞间的粘着,以及赋于动物细胞表面以生物专一性等作用。按照组成糖单位的多寡,将糖类化合物分成单糖、寡糖(又称低聚糖,游离的寡糖主要是二糖)和多糖(聚糖)。单糖只含1个糖单位,寡糖与多糖没有严格的界限,一般把含有2~20个单糖单位的糖类称作寡糖。

糖类sugars

多羟基醛或多羟基酮及其缩合物和某些衍生物的总称。绝大多数糖类的实验分子式可用Cn(H2O)n表示,故又有碳水化合物之称。糖是广泛存在于生物体内的一类重要有机化合物。按其分子大小,可分为单糖、低聚糖和多糖三类。
单糖 为多羟基醛或酮,不能进一步水解成更简单的糖。已知天然单糖有100种以上,它们或以游离态存在(特别是D-葡萄糖和D-果糖),或作为低聚糖和多糖的基本单位以结合态存在。许多单糖在代谢过程中起决定作用,并且是代谢的重要中间产物 (以糖的磷酸酯形式)。
结构 根据单糖分子中所含碳原子数目分为丙糖、丁糖、戊糖、己糖等。含醛基的单糖称为醛糖; 含酮基的单糖称为酮糖。其通式为:


单糖的构型都是由甘油醛和二羟丙酮派生的。糖的构型有D-构型与L-构型之分。凡分子中靠近伯醇基(CH2OH)的仲醇基(CHOH)中的羟基在分子的右方者,称D-糖。在左方者则称L-糖。所以又有D-醛糖和L-醛糖,D-酮糖和L-酮糖之分。该基团上的碳原子叫不对称碳原子。近年来,化学家提出一种顺序法则,用R(Rectus)代替D,S(Sinister)代替L。


在单糖中,不对称碳原子数的增加,会使其光学异构物数目增加。范特霍夫(Vant Hoff)最早提出光学异构体的可能数目为2n(n为不对称碳原子数)。根据这种方法,D-甘油醛可衍生出2个D-丁糖、4个D-戊糖、8个D-己糖的异构体。同理,L-甘油醛亦可能衍生出同样数目的L-型单糖、D-型与L-型的单糖,互为对映体。单糖在结构上除有链状结构外,尚有环状结构,如:


由于环式第一碳原子是不对称碳原子,因而与其相连的H和OH基的位置可能有两种排列方式(即OH基在左边或右边),从而有两种构型。决定α-、β-型的依据和决定一个糖的D-、L-构型的依据相同,是以糖分子上的半缩醛羟基(即C1上的OH)和糖分子末端-CH2OH基邻近碳原子的OH基的位置而定。若同侧的称α-型,异侧的称β-型。


上述环式为费雪(Eischer)所定。为了更准确地反映糖分子的主体构型,哈尔斯(Haworth)提出另一种糖类的环状结构的书写方式,即将吡喃糖式写成六角平面形,呋喃糖式写成五角平面形:


70年代中期x-射线研究证明,吡喃型半缩醛环具有稳定的椅式构象。


α-D-(+)-吡喃葡萄糖 β-D-(+)-吡喃葡萄糖在所有的D-己醛糖中,只有这—种化合物具有这样的构象。
一切单糖都含不对称的碳原子,因此具有旋转偏振光面的能力,即旋光性。使偏振光面左旋者称为左旋糖,以”-”号表示之。使偏振光面右旋者称为右旋糖,以“+”号表示之。D-葡萄糖、D-半乳糖、D-甘露糖、D-木糖和L-阿拉伯糖为右旋糖;D-果糖、D-核糖和D-阿拉伯糖为左旋糖。
反应 由于单糖的结构为多羟基醛和多羟基酮,因此,其化学性质具醇羟基和羰基的性质。单糖与酸作用时可生成酯。重要的糖酯是磷酸酯。糖分子上的还原性基团(半缩醛羟基)与其他含有羟基的物质缩合而成的化合物称糖苷,又称苷或配糖物。重要的糖苷有核苷、脱氧核苷、以及多种由葡萄糖形成的苷(如苦杏仁苷)。单糖与强酸共热,脱水产生糠醛及其衍生物。利用这一性质可以鉴定糖的存在。如α-萘酚与糠醛或羟甲基糠醛作用呈紫色(莫利西试验),间苯二酚与盐酸遇酮糖呈红色,遇醛糖呈很浅颜色,利用这一特性可鉴别酮糖与醛糖(西利万诺夫试验)。单糖含有自由的醛基或酮基,在不同的氧化条件下,可被氧化成不同的产物。如与弱氧化剂(硫酸铜的酒石酸钾钠碱性溶液)作用,则单糖被氧化,而氧化铜被还原成氧化亚铜。测定氧化亚铜的生成量,即可知糖的含量(本尼狄克特氏反应;菲林氏反应)。此外,醛糖与溴水(pH6.0)作用可氧化成糖酸;醛糖与稀硝酸作用可氧化成糖二酸。在还原剂(钠汞齐或硼氢化钠)的作用下单糖可还原成糖醇。
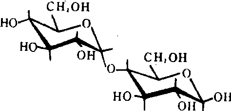
低聚糖 是由2~10分子单糖以α-或β-糖苷键连结而成的化合物,按其亚单位数可分为双糖、三糖、四糖等。在酸或酶的作用下,低聚糖能水解成相应的亚单位。低聚糖以游离态或结合态广泛存在于生物体内,其中尤以双糖特别重要。双糖按其糖苷键的性质可分为海藻糖型和麦芽糖型两类。在海藻糖型中,由于两分子单糖在失水缩合时醛基与酮基完全丧失,不能进入典型的糖反应,如还原作用、腙和肟的形成或变旋作用。蔗糖和海藻糖是这类双糖的代表。在麦芽糖型中,由于缩合时尚存有一个自由醛基,因此有还原性和变旋性,并能形成腙和肟。麦芽糖、纤维二糖、龙胆二糖和密二糖是这类双糖的代表。其他低聚糖如鼠李糖、龙胆三糖和松三糖等属于三糖,水苏糖为四糖,毛蕊糖为五糖。


蔗糖(1-α-D吡喃葡萄糖-β-D-呋喃果糖苷)


麦芽糖(α-D-葡萄糖(1,4)D-吡喃葡萄糖苷)


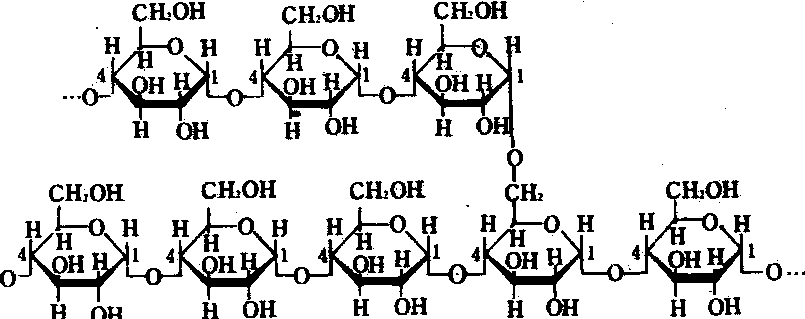
多糖 由10个或10个以上单糖分子以α-或β-糖苷键结合而成的分支或不分支化合物。其分子链可以是直线排列、螺旋排列或球形排列。多糖的通常组分是D-葡萄糖、D-果糖、D-半乳糖、D-甘露糖(以上属己糖),D-阿拉伯糖、D-木糖(以上属戊糖)以及葡糖胺(属氨基糖)。多糖作为贮藏物质和骨架结构广泛存在于生物体内,前者如淀粉、糖原和菊糖等,后者如纤维素、半纤维素和甲壳质等。淀粉是植物体内最重要的贮存多糖,按其结构分为直链淀粉和支链淀粉两种。直链淀粉是由D-葡萄糖的α-1,4糖苷键所组成的直链螺旋分子; 支链淀粉则是由D-葡萄糖以α-1,4和α-1,6糖苷键连结而成的具支链分子。直链淀粉分子中含几千个葡萄糖残基; 支链淀粉分子中的葡萄糖残基数可从几千到几万个。糖原是动物体的储备糖,所以又称动物淀粉。其结构与支链淀粉相似,但分枝更多,其中葡萄糖残基的大部分是以α-1,4糖苷键连结,分枝点是以α-1,6糖苷键结合。菊糖是由D-呋喃果糖以β-2,1连结而成的多糖,分子中的果糖残基数通常不超过35个。纤维素是植物细胞壁的主要结构物质,是由1 000个以上的D-葡萄糖以β-1,4结合而成的直链化合物。半纤维素则是由多种单糖聚合而成的多糖,常见的半纤维素有木聚糖、葡萄糖甘露聚糖和阿拉伯半乳聚糖三类。多糖在酸或酶的作用下可以水解成相应的亚单位。淀粉水解时,随水解程度的不同可得到糊精、麦芽糖和葡萄糖等不同产物。糖原的水解与淀粉相似。纤维素水解可得到葡萄糖或纤维二糖。


直链淀粉结构


支链淀粉结构

糖类

又称碳水化合物,是由碳、氢、氧三种元素组成的。人体内的糖类,主要为两种糖,即葡萄糖和糖元。人们吃下去的糖类食物,不论是淀粉、蔗糖、麦芽糖,经过消化,最后都分解为简单的糖(如葡萄糖等),而被小肠吸收入血液。血液中的葡萄糖又称为血糖。血糖由血液运送给各组织,供细胞利用,是人体生命活动的主要燃料。葡萄糖在人体内的生物氧化中,产生二氧化碳和水,并放出能量供组织细胞利用,血糖增高时,葡萄糖可以转变为糖元贮存起来,例如肝糖元和肌糖元。而血糖降低时,糖元又可分解为葡萄糖成为血糖。

糖类

自然界存在的一大类有机化合物。经绿色植物光合作用而形成,主要含有碳、氢、氧3种元素,其分子通式常以Cn(H2O)n表示。参见“碳水化合物”。

糖类saccharide

多羟基醛或多羟基酮及其缩聚物和衍生物的总称。分单糖、寡糖(低聚糖)和多糖三大类。如葡萄糖、果糖、蔗糖、乳糖、淀粉、纤维素、果胶、糖原、葡萄糖胺和半乳糖醛酸。在生物界分布极广,含量较多。约占植物体干重的80%,动物器官组织干重的2%,微生物菌体干重的10 %~30%。作为细胞的贮藏物质或结构物质,为生命活动提供能量,为其它有机物合成提供碳素,或构成细胞壁,维持细胞的形态结构。与蛋白质或脂类共价连接而成的复合物(糖蛋白、蛋白聚糖、糖脂和脂多糖)称为复合糖,是目前糖类研究的重要方面。如糖蛋白,分布广,种类多,具有细胞识别、凝集、免疫、运输、酶、激素、营养和结构等生物功能。糖类也是粮食、棉花、麻类、糖料和木材等农林产品的主要成分。

糖类

多羟醛或多羟酮及其聚合物和某些衍生物的总称。分子式为Cn(H2O)n,又称碳水化合物。分单糖、低聚糖和多糖3类。现已知单糖100多种。低聚糖由2~10单糖分子以α-或β-糖苷键联结而成。多糖由10个或10个以上单糖分子以α-或β-糖苷键结合而成。

随便看

 

开放百科全书收录579518条英语、德语、日语等多语种百科知识,基本涵盖了大多数领域的百科知识,是一部内容自由、开放的电子版国际百科全书。

 

Copyright © 2000-2025 oenc.net All Rights Reserved
更新时间:2026/5/18 19:01:15