网站首页  百科知识

请输入您要查询的百科知识:

 

词条 等差数列
类别 中文百科知识
释义

等差数列dengcha shulie

从第二项起,每一项都等于前一项加上同一个数d的有限数列或无限数列.又叫算术数列.这个数d称为等差数列的公差.等差数列可以记作

a1,a1+d,a1+2d,…,a1+(n-1)d,…

等差数列的通项公式是

an=a1+(n-1)d


前n项和公式是


等差数列从第二项开始每一项是前项和后项的算术平均数.
如果等差数列的公差是正数,则该等差数列是递增数列;如果等差数列的公差是负数,则该数列是递减数列;如果等差数列的公差等于零,则该数列是常数列.
对于一个数列al,a2,…,an,…,如果它的相邻两项之差a2-a1,a3-a2,…,an+1-an,…构成公差不为零的等差数列,则称数列{an}为二阶等差数列.
运用递归的方法可以依次定义各阶等差数列:对于数列{an},如果{an+1-an}是r阶等差数列,则称数列{an}是r+1阶等差数列.二阶或二阶以上的等差数列称为高阶等差数列.
r阶等差数列的通项公式可以用一个关于项数n的r次多项式来表示,反之,通项公式为项数n的r次多项式的数列必为r阶等差数列.
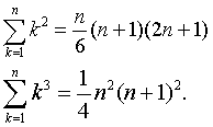
高阶等差数列的求和方法主要有两种,一种是将其通项(项数n的r次多项式)表成差分多项式的线性组合从而求和.另一种是利用自然数幂的求和公式,如


r阶等差数列的前n项和公式是项数n的r+1次多项式,对r不太高的情况也可用待定系数法来确定.
二阶等差数列的通项

式中an是第n项,a1是第一项,n为项数,d1是数列的后项减去紧邻的前一项所得的第一次差构成的数列的首项,d2是第二次差.例如二阶等差数列1,4,9,16,25,36,49,…,通项


二阶等差数列前n项和

例如二阶等差数列 {n2}前n项和

随便看

 

开放百科全书收录579518条英语、德语、日语等多语种百科知识,基本涵盖了大多数领域的百科知识,是一部内容自由、开放的电子版国际百科全书。

 

Copyright © 2000-2025 oenc.net All Rights Reserved
更新时间:2026/1/12 20:27:46