网站首页  百科知识

请输入您要查询的百科知识:

 

词条 立体异构
类别 中文百科知识
释义

立体异构stereo-isomerism

有机化合物分子中,原子或原子团的连接方式相同,但在空间排列不同而引起的异构现象。立体异构,主要有光学异构(又叫旋光异构)和顺反异构(又称几何异构)两种。具有立体异构的化合物叫立体异构体。
光学异构 由于分子中没有对称因素(允许有对称轴)而引起的立体异构。当分子中一个碳原子与四个不同的原子或原子团连接时,就可能存在两个光学异构体,它们的旋光性完全相反,这个碳原子称手性中心,书写时一般用“*”表示。含有手性中心的基团即为手性基团,不含有手性中心的基团,即为非手性基团。手性分子两个异构体的各个基团在空间的排列,犹如实物和它的镜像,所以又称它们是对映体(enantiomers)。分子中有1个手性中心时,有2个光学异构体,且互为对映体。例如:乳酸分子中有一个手性中心,就有两个异构体,它们互为对映体(图1)。


图1 乳酸的两个光学异构体
(据李增民)

有2个手性中心时,有4个光学异构体,即为2对对映体; 有n个手性中心时,有2n个光学异构体,即有2n-1对对映体,其中相互不是镜像关系的光学异构体,叫做非对映体(diastereoisomers)。
除碳原子外,硅、锗、锡、氮、磷、砷、锑、硫、硒、碲等元素的化合物,也具有光学异构现象。此外,除上由于中心型手性引起的光学异构现象外,轴型手性分子、面型手性分子,也具有光学异构现象。
光学异构体的对映体,具有完全相反的旋光性质和相同的物理化学性质;非对映体则具有相似的化学性质和不同的物理性质。具有生物活性的光学异构体,其活性大小往往很不一样,一般只有其中的一个光学异构体,具有最大的生物活性。要获得最有效的光学异构体,须采用如拆分、不对称合成等特殊的方法。
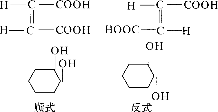
顺反异构 在双键或环状化合物中,由于原子或取代基彼此在双键或双骨架平面的同侧或异侧而引起的立体异构。顺反异构体中的两个原子或原子团间相对距离不同。例如,丁烯二酸,有两种不同的空间排列: 相同原子或原子团在双键同侧的叫顺式异构体,在异侧的叫反式异构体。又如1,2-环己二醇也有不同的空间排列: 羟基在环一侧的为顺式异构体,在环两侧的为反式异构体(图2)。


图2 丁烯二酸和1,2-环己醇的顺反异构

顺反异构体具有不同的物理化学性质和生物活性,反式异构体 一般较稳定,易用物理方法分离提纯(见纯化方法)。
在农药中,不同 的光学异构体和顺反异构体,其生物活性具有很大的差异。例如,顺式氯氰菊酯(alphamethrin)的药效就比反式的高。高效氰戊菊酯(fenvalerate),其药效比一般氰戊菊酯高四倍,因为它是氰戊菊酯的四个光学异构体中唯一有生物活性的异构体。

立体异构

原子或原子团在空间配置不同而引起的同分异构现象。有机化学及络合物化学中最常见的有两大类型:构象异构和构型异构。后者又可区分为:顺反异构与光学异构。

随便看

 

开放百科全书收录579518条英语、德语、日语等多语种百科知识,基本涵盖了大多数领域的百科知识,是一部内容自由、开放的电子版国际百科全书。

 

Copyright © 2000-2025 oenc.net All Rights Reserved
更新时间:2026/5/18 21:55:53