网站首页  百科知识

请输入您要查询的百科知识:

 

词条 空间线段的定比分点坐标
类别 中文百科知识
释义

空间线段的定比分点坐标kongjian xianduan de dingbifendian zuobiao

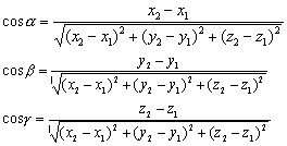
设P1和P2 :是空间的两个点,P点内分或外分有向线段1P2为两部分1P和P2,这两条有向线段的量数比叫做分比,记作λ,即λ=P1P/PP2.当λ>0时,P点为内分点; 当λ<0且λ≠-1时,P点为外分点; 当λ=1时, P点是1P2的中点. 反过来也成立. 当λ=-1时, P点不存在. 设有向线段1P2的始点P1 (x1,y1,z1)和终点P2 (x2,y2,z2),则分比为λ (λ≠-1) 的分点P (x,y,z) 的坐标为

式中如果λ=n ;m,那么


特别1P2的中点坐标是:
随便看

 

开放百科全书收录579518条英语、德语、日语等多语种百科知识,基本涵盖了大多数领域的百科知识,是一部内容自由、开放的电子版国际百科全书。

 

Copyright © 2000-2025 oenc.net All Rights Reserved
更新时间:2026/5/18 18:54:30