网站首页  百科知识

请输入您要查询的百科知识:

 

词条 空间两直线间的距离
类别 中文百科知识
释义

空间两直线间的距离kongjia n liangzhixian jian de juli

设直线l: P=P0+tS及l外一点A,则由点A到直线l的距离是 设P0={x0,y0,z0},A={a,b,c},S= {l,m,n},则由点A(a,b,c)到直线的距离是

两平行直线P=P1+tS和P=P2+tS的距离是

两平行直线的距离是

与两异面直线皆垂直相交的直线叫做二异面直线的公垂线,两个垂足的连线段叫公垂线段,公垂线段的长就是二异面直线之间的(最短)距离。两异面直线P=Pt+ tS1和P=Pz+tS2的公垂线是唯一存在的,它的方程是(P-P1 ,S1,S)=0,(P-P2,S2,S)=0,此处S=S1× S2。两异面直线的公垂线方程是

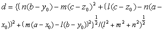
此处两异面直线P=P1+tS1和P=P2+tS2的距离是

两异面直线的距离是

此处
随便看

 

开放百科全书收录579518条英语、德语、日语等多语种百科知识,基本涵盖了大多数领域的百科知识,是一部内容自由、开放的电子版国际百科全书。

 

Copyright © 2000-2025 oenc.net All Rights Reserved
更新时间:2026/5/18 17:37:35