网站首页  百科知识

请输入您要查询的百科知识:

 

词条 空走距离
类别 中文百科知识
释义

空走距离idling stopping distance

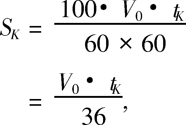
从司机将制动阀手柄置于制动位时起,到假定全列车的所有闸瓦都在某一瞬间同时压上车轮并且闸瓦压力就在此时从零骤然增到最大值的这一瞬间为止,列车在这一过程中未受到制动力的作用而依靠惯性走过的距离。为计算方便,常假定在空走时间内列车运行速度不变,并等于开始制动时的初速;在上、下坡道上运行时对速度的影响采用修正空走时间数值的办法来解决,这样,空走距离可按下式计算:

式中:SK——空走距离(m);
V0——制动初速度(km/h);
tK——空走时间(s)。
随便看

 

开放百科全书收录579518条英语、德语、日语等多语种百科知识,基本涵盖了大多数领域的百科知识,是一部内容自由、开放的电子版国际百科全书。

 

Copyright © 2000-2025 oenc.net All Rights Reserved
更新时间:2025/11/10 16:15:30