网站首页  百科知识

请输入您要查询的百科知识:

 

词条 稻瘟灵
类别 中文百科知识
释义

稻瘟灵isoprothiolane

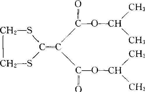
内吸强选择性杂环类杀菌剂,主要防治水稻稻瘟病。商品名富士一号(Fuji-one)。化学结构式:

1969年由日本农药公司开发作为杀菌剂应用。
性能 纯品为白色结晶,熔点50~ 51℃,沸点167~ 169℃/66.6612帕。20℃时在水中的溶解度为48毫克/升,易溶于苯、醇和丙酮等有机溶剂。对温血动物低毒。原粉对雄性和雌性大鼠急性口服LD50分别为1190和1340毫克/千克,大鼠急性经皮LD50为10250毫克/千克。三个月的亚急性试验,未发现不良影响,两年饲喂试验对雄性大鼠无作用剂量为1.6毫克/千克·天,对雄性狗无作用剂量为3.1毫克/千克·天。对鱼类有中等毒性,对鲤鱼和鲫鱼48小时LC50为6.7毫克/升,虹鳟为6.8毫克/升、鳗鱼为1.4毫克/升,对鹌鹑和鸡LD50 分别为4710~ 4180和3860毫克/千克。以0.5%的40%乳油喷施时,24小时内对蜜蜂无影响。选择性强,2毫克/升即对水稻稻瘟病菌表现出良好的抑菌活性,50毫克/升对水稻小球菌核病菌亦显示出抑制效果。但对其他许多病原真菌无抑制作用,对细菌病害亦无效。药剂具有内吸性,植株吸收后累积于叶组织,更易集中于穗轴和枝梗。持效长,耐雨水冲刷。大面积施用还可兼治稻飞虱。其作用方式是抑制菌丝侵入和生长。
应用 主要用于防治水稻稻瘟病。它对穗稻瘟病和叶稻瘟病都有效,但对穗稻瘟病的效果更好。其速效性不及克瘟散和异稻瘟净,但持效性较二者好,施药后56天仍能保持足够的防治效果。通常采用喷洒方法施用,用药量为有效成分360~ 450克/公顷。在有效剂量下对作物无药害。安全间隔期为14天。

稻瘟灵isoprothiolane

又称富士一号。化学名称:1,3-二硫戊环-2-叉、丙二酸二异丙酯。化学结构式如下。原药白色结晶,略有硫臭味,20℃水中溶解度48 mg/L、易溶于丙酮、氯仿、二甲苯、苯、甲醇、乙醇等溶剂中。对光、温度稳定,pH3~10时稳定,但在水中,紫外线下不稳定。1975年日本农药公司推广的内吸性杀菌剂。对稻瘟病有预防和治疗作用,兼治叶蝉和飞虱,幼龄若虫受药后蜕皮不全或不能蜕皮而死亡。对稻瘟病菌的作用主要是抑制磷脂N-甲基转移酶,从而使脂肪酸、甘油三醇、磷脂质的形成受阻。当药液达10 mg/kg时,病菌侵入栓形成明显受抑制,亦抑制菌丝生长,植株上病斑不能扩展,药剂在水稻上内吸性能和持久性均好。可在育秧箱中施用,亦可在穗期大田喷洒,防治苗瘟和穗颈瘟。对植物安全,人畜低毒。大鼠(♀)急性口服LD501340 mg/kg,经皮LD50>10 250 mg/kg。慢性毒性试验无阳性反应,对蜜蜂、鸟、天敌等无影响,鲤鱼TLm(48 h)6.7 mg/kg,最后一次用药的安全间隔期为21天,糙米中最大允许残留量2 mg/kg(日本)。

随便看

 

开放百科全书收录579518条英语、德语、日语等多语种百科知识,基本涵盖了大多数领域的百科知识,是一部内容自由、开放的电子版国际百科全书。

 

Copyright © 2000-2025 oenc.net All Rights Reserved
更新时间:2026/5/18 22:22:59