网站首页  百科知识

请输入您要查询的百科知识:

 

词条 稀禾定
类别 中文百科知识
释义

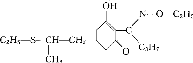
稀禾定sethoxydim

又称拿捕净、乙草丁、硫乙草灭。内吸、选择性苗后除草剂。化学名称:2-〔1-(乙氧胺基)丁基〕-5-〔2-(乙硫基)丙基〕-3-羟基-2-环乙烯-1-酮。化学结构式如下。纯品为无色、无臭油状液体,沸点>90℃(533×10-5 Pa),20℃时蒸气压<133.322×10-6Pa。pH4时几乎不溶于水,pH7时微溶于水,可溶于甲醇、乙烷、醋酸乙酯、甲苯、二甲苯、正己烷、橄榄油等有机溶剂。可通过杂草的茎、叶吸收,并传导到生长点和节间分生组织,抑制细胞分裂,使杂草死亡。药剂在土壤中很快分解失效。适宜于大豆、棉花、花生、油菜、甜菜、烟、麻、蔬菜等阔叶作物及果、桑、茶园、苗圃等使用,防除一年生或多年生禾本科杂草,稗草、看麦娘、马唐、狗尾草、牛筋草、野燕麦、狗牙根、芦苇、白茅、冰草等。对人、畜、鱼低毒。大鼠急性口服LD50为3 200~3 500 mg/kg,急性经皮LD50>5 000 mg/kg。

随便看

 

开放百科全书收录579518条英语、德语、日语等多语种百科知识,基本涵盖了大多数领域的百科知识,是一部内容自由、开放的电子版国际百科全书。

 

Copyright © 2000-2025 oenc.net All Rights Reserved
更新时间:2026/5/18 15:35:50