网站首页  百科知识

请输入您要查询的百科知识:

 

词条 离子交换树脂
类别 中文百科知识
释义

离子交换树脂lizi jiaohuan shuzhi

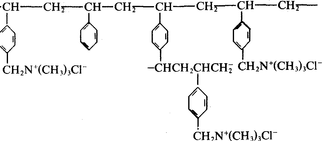
通常是指能与溶液中的正、负离子进行交换的功能高分子,分为阴离子、阳离子交换树脂两类。常见的阴离子交换树脂是季铵型强碱性树脂,是以苯乙烯和二乙烯苯共聚,经氯甲基化反应及胺化反应制得,其结构式为


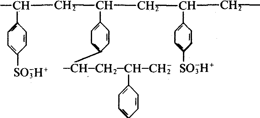
常见的阳离子交换树脂是苯乙烯磺酸型树脂,是以苯乙烯和二乙烯苯共聚,经磺化反应制得,其结构式为


它们具有不溶于酸、碱及有机溶剂,对一般氧化和还原剂较稳定等特点。用于金属离子的分离,试剂、药物的提纯,工业用水的软化,纯水及超纯水的制备(参见“纯水制备”)等。
近年来,出现了具有特殊选择功能的离子交换树脂,主要有吸附树脂,是以吸附功能为特征的树脂;螯合树脂,是以交联聚合物为骨架连接有特殊功能基的树脂; 氧化还原树脂,又称电子交换树脂,能与活性物质进行电子交换,发生氧化还一原反应。

离子交换树脂

含有可交换的离子官能团的合成树脂。一般为圆球状或颗粒状固体。含有酸性基团(如磺酸基)时,其阳离子可与水溶液中的阳离子交换,称为“阳离子交换树脂”;分子中含有碱性基团(如氨基)的,称“阴离子交换树脂”。发生离子交换后逐渐失去效力,可经过处理而恢复。广泛应用于水的净化、元素分离提纯等方面。

随便看

 

开放百科全书收录579518条英语、德语、日语等多语种百科知识,基本涵盖了大多数领域的百科知识,是一部内容自由、开放的电子版国际百科全书。

 

Copyright © 2000-2025 oenc.net All Rights Reserved
更新时间:2025/11/9 22:56:44