网站首页  百科知识

请输入您要查询的百科知识:

 

词条 硼酸
类别 中文百科知识
释义

硼酸pengsuan

硼的氧化物水合物。主要有四硼酸H2B4O7,偏硼酸 (HBO2)n与正硼酸H3BO3 (也称原硼酸) ,其中正硼酸含水量最多,最稳定。正硼酸也简称硼酸,它是白色发亮的片状晶体,0℃时溶解度为2.6g,107℃时溶度为37g,故可用重结晶法提纯。用硫酸作用于硼砂解的热溶液可制得硼酸:


Na2B4O7+H2SO4+5H2O=Na2SO4+4H3BO3

冷却时就可结晶析出。
我国东北有丰富的硼镁矿MgB2O5· H2O或2MgO·B2O5·H2O。直接用硫酸分解硼镁矿也可制得硼酸:


Mg2B2O5·H2O+2H2SO4=2MgSO4+2H3BO3

煮沸硼酸溶液时,有一部分硼酸与水蒸气同时挥发出来,故火山地区地层裂缝中喷出的水蒸气中常含有硼酸。硼酸晶体的结构单元是平面三角形的“BO3”。硼原子采用sp2杂化,其中氧原子除以共价键与一个硼原子结合外,还通过共价键和氢键与另外两个氢原子结合,成为片状大分子。因氢键结合力小,故受热后大分子遭破坏,溶解度增加。硼酸是一元酸,酸性极弱 (Ka= 5.8×10-10),与硅酸相似 (K1=2×10-10),在水中电离时不是失去质子,而是与水中的OH-根结合:



这与硼化合物缺电子结构特点有关,硼酸中硼原子可作为电子对接受体与一个OH-根结合,OH-根中



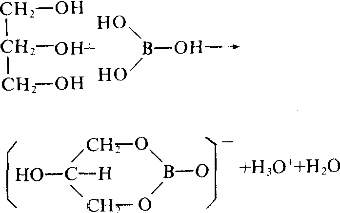
典型的路易斯酸。当硼酸中加入甘油 (丙三醇)或甘露醇[CH2(OH)(CHOH)4CH2OH]时,其酸性增强,这是因为硼酸与甘油结合生成配阴离子后,将H+推到外界,易于电离:

硼酸与甲醇或乙醇作用生成易挥发的硼酸三甲酯或硼酸三乙酯:

H3BO3+3C2H5OH=B(OC2H5)3+3H2O

根据这一反应原理可使硼酸或硼酸盐从酸溶性矿物中分离出来。硼酸三甲酯 (或硼酸三乙酯) 燃烧时,生成绿色火焰,利用这一特性可定性地鉴定硼酸或其盐的存在。硼酸水溶液具有弱酸性和杀菌能力,在医药和食品工业、造纸和制革工业上用做消毒剂和防腐剂,硼酸也用于搪瓷和釉药的制造,也是制造玻璃纤维的重要原料之 一。

硼酸boron acid

用碳酸氢铵处理硼镁矿粉或用硫酸中和硼砂等方法制成的硼肥。化学式为HBO3。含硼量(B)17.5%。白色结晶或白色粉末,溶于水,呈弱酸性,不吸湿。可作基肥、追肥、种肥施用。但以用于根外追肥较为经济有效。作根外追肥的喷施浓度为0.1%~0.2%,溶液用量以喷湿叶片正反面为度。作拌种用时,每500 g种子只需用硼酸0.2~0.5 g;浸种用的硼酸溶液浓度为0.01%~0.05%。

随便看

 

开放百科全书收录579518条英语、德语、日语等多语种百科知识,基本涵盖了大多数领域的百科知识,是一部内容自由、开放的电子版国际百科全书。

 

Copyright © 2000-2025 oenc.net All Rights Reserved
更新时间:2025/11/10 0:41:33