网站首页  百科知识

请输入您要查询的百科知识:

 

词条 相对评价法
类别 中文百科知识
释义

相对评价法xiangdui pingjiafa

在被评价对象集合之内,确定一个评价标准,评价时把集合中每一个被评价对象都来和这个评价标准作比较,从而评价出每个被评价对象在该集合中的相对位置.
相对评价标准与被评价对象有关,不同的集合可以有不同的评价标准.
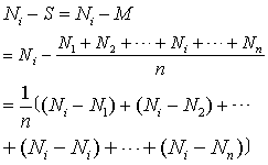
设集合A={N1,N2,…,Nn},其中Ni(i=1,2,…,n)是被评价对象,S是评价标准,那么相对评价就是A中的每个Ni和A内的评价标准S作比较,从而得出评价结论.
如果相对评价的标准取的是n个学生某次考试成绩的平均值M,设第i号学生在这次考试中的得分为Ni,那么

从而可以评价第i号学生与所在集体的(此次考试)平均水平的差异.
相对评价对于被评价对象的集合内部来讲,宏观性是高的,但它的缺点是靠集合内部来确定评价标准.这样,对于不同水平的两个集合A,B来说,集合A中相对评价的第i号学生,其水平不一定相应与集合B中相对评价的第i号学生相当,这就是说,即使都是相对评价中的第i号学生,其绝对水平往往是不同的.

相对评价法xiangdui pingjiafa

是在被评价对象的集合中选取一个或几个对象作为基准,然后把各个评价对象与基准进行比较的方法。如果假定被评价对象集合中的元素是A1、A2、A3……An,而选取的基准为Mo,则相对评价法可用图表示:

幼儿园组织教育活动观摩时就常采用这种方法。目前还没有评定优秀教育活动的客观标准。如果大家一致公认某教师教育活动组织得好,那么,幼儿园就可以组织大家来观摩该教师是如何组织教育活动的,并让大家把自己组织的教育活动与所观摩的那位教师组织的教育活动进行对照和比较,经过对照和比较,凡是接近或超过所观摩的教师的,都可以认为是教育活动组织得好。在幼儿园里,我们常常表扬某某幼儿有进步,这也是一种相对评价,即以幼儿原来的表现做基准进行的评价。如果把某一幼儿的绘画作业作为优秀作品的基准并把其他幼儿的作品与之相比进行评价,也可以算作相对评价。由于相对评价是在某一类评价对象集合的内部将集合中各个元素与特定的元素进行比较。所以,无论这个集合的整体情况如何,使用这种方法都可以进行比较,因而适应性比较强。但由于相对评价如同是“从矮子里面选高个”,所以,选出的“高个”未必是真的“高个”。可见,使用这种方法容易降低标准。同时,由于相对评价并不关心被评价对象的实际水平,只表示他与集体中基准人物或事件的距离程度或他在集体中所处的位置,使得被评价对象之间容易产生激烈的竞争。

相对评价法Xiangdui pingjiafa

将评价对象按某一特性从高到低排列起来,或者在被评价的对象的集合中选取一个或若干个作为基准,然后把各个评价对象与基准进行比较的一种评价方法。特点是评价标准根据被评价对象的整体状态确定,因而只适用于所选定的评定对象的集合,对于另外的集合则未必适用。这种方法适应性强,应用面广,但也有很大的缺点,即容易降低标准。

随便看

 

开放百科全书收录579518条英语、德语、日语等多语种百科知识,基本涵盖了大多数领域的百科知识,是一部内容自由、开放的电子版国际百科全书。

 

Copyright © 2000-2025 oenc.net All Rights Reserved
更新时间:2026/5/19 12:24:12