网站首页  百科知识

请输入您要查询的百科知识:

 

词条 甲菌定
类别 中文百科知识
释义

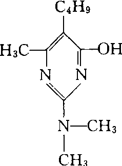
甲菌定dimethirimol

杂环类杀菌剂。化学名称:5-丁基-2-二甲胺基-4-羟基-6-甲基嘧啶。化学结构式如下。原药为白色针状结晶,25℃时100 ml水中溶解度为0.12 g,丙酮中为4.5g,氯仿120 g,乙醇6.5g,二甲苯36g。对热稳定,碱性溶液中不分解,但纯酸溶液中溶解,对金属有腐蚀作用。1968年由英国卜内门(ICI)公司推广。主要用于防治瓜类白粉病,具有强内吸性能,药剂施于根部周围土壤中,根系吸收后可向地上部运转,并能使叶面免受白粉菌的感染达数周。对人畜低毒,大鼠口服急性LD50为2 350 mg/kg,兔经皮施药500 mg/(kg·d),40天后未发现不良影响。

随便看

 

开放百科全书收录579518条英语、德语、日语等多语种百科知识,基本涵盖了大多数领域的百科知识,是一部内容自由、开放的电子版国际百科全书。

 

Copyright © 2000-2025 oenc.net All Rights Reserved
更新时间:2026/5/18 17:41:17