网站首页  百科知识

请输入您要查询的百科知识:

 

词条 甲硫威
类别 中文百科知识
释义

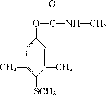
甲硫威methiocarb

又称灭虫威,mercaptodimethur,metmercapturon。一种杀虫杀螨剂。化学名称:3,5-二甲基-4-甲硫基酚基甲基氨基甲酸酯。结构式如下。原药白色粉状结晶,略有气味。溶点119℃,25℃时蒸气压4.2×10-7Pa。不溶于水、不溶于己烷,溶于丙醇及甲苯。大鼠口服LD50 (试验前饥饿)10~35mg/kg、(试验前喂食的)为100~130 mg/kg。大鼠吸入LC50 >20 mg/m3空 气。兔经皮 >5 000 mg/kg。可用于棉花、果树、粮食作物、蔬菜防治蚜、螨蓟马、木虱、叶蝉、蟓䖬。还可以防治蛞蝓、蜗牛。主要是胃毒及触杀作用,无内吸作用。对鸟类有很强忌避作用。

随便看

 

开放百科全书收录579518条英语、德语、日语等多语种百科知识,基本涵盖了大多数领域的百科知识,是一部内容自由、开放的电子版国际百科全书。

 

Copyright © 2000-2025 oenc.net All Rights Reserved
更新时间:2026/1/12 23:55:50