网站首页  百科知识

请输入您要查询的百科知识:

 

词条 甲氧除草醚
类别 中文百科知识
释义

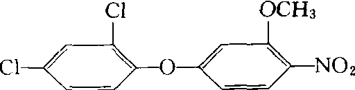
甲氧除草醚chloromethoxynil

又称氯硝醚。二苯醚类触杀性除草剂。化学名称:2,4-二氯苯基-3′-甲氧基-4′-硝基苯基醚。化学结构式如下。纯品为黄色结晶,熔点113~114℃,几乎不溶于水,可溶于丙酮、乙醇、苯、醚等有机溶剂。易被杂草幼芽部吸收,受到日光照射后活化发挥作用,干扰植物的呼吸作用,抑制ATP的生成,使杂草枯萎。小麦、花生、蔬菜播后芽前施用(a、i)1.5~2.5kg/hm2。可防除稗草、牛毛草、鸭舌草、碎米莎草、异型莎草、瓜皮草、节节菜、马唐、藜等一年生杂草。对人、畜低毒,大、小鼠急性口服LD50为10 000 mg/kg,鼠急性经皮LD50为2 000mg/kg。对鱼类有中等毒性。

随便看

 

开放百科全书收录579518条英语、德语、日语等多语种百科知识,基本涵盖了大多数领域的百科知识,是一部内容自由、开放的电子版国际百科全书。

 

Copyright © 2000-2025 oenc.net All Rights Reserved
更新时间:2025/11/10 16:31:39