网站首页  百科知识

请输入您要查询的百科知识:

 

词条 甲基硫菌灵
类别 中文百科知识
释义

甲基硫菌灵thiophanate-methyl

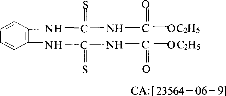
内吸广谱性取代苯类杀菌剂。商品名甲基托布津(Topsin-methyl)。化学结构式:

1970年由日本曹达公司推广应用。
性能 纯品为白色结晶,熔点为172℃(分解)。不溶于水、苯、二甲苯、乙醚,溶于甲醇、丙酮、氯仿,易溶于乙腈和二甲基甲酰胺。在酸性和碱性介质中稳定,对光稳定。低毒。对大鼠急性口服LD50为7500毫克/千克(雄)和6640毫克/千克(雌),大鼠和小鼠急性经皮LD50>10000毫克/千克。无致突变、致畸和致癌作用。对大鼠三代繁殖无影响。两年慢性试验无作用剂量大鼠为8毫克/(千克· 天),狗为50毫克/(千克·天)。对鲤鱼和虹鳟鱼48小时 LC50分别为11毫克/升和8.8毫克/升,对鹌鹑口服LD50>5000毫克/千克,对蜜蜂低毒。具有高效、广谱、内吸等特点,兼有保护和治疗作用。除了对藻菌纲真菌病害无效外,对其他各纲中许多真菌具有良好的生物活性。它比同类杀菌剂硫菌灵具有更高的活性和更强的内吸作用,并且具有杀螨卵效果。药剂在植物体内转化为多菌灵而起杀菌作用。作用机制为干扰病原菌的有丝分裂中纺锤体的形成,影响细胞分裂。
应用 广泛用于禾谷类、蔬菜、果树和某些经济作物病害的防治,喷洒防治麦类赤霉病、白粉病、水稻稻瘟病和纹枯病、油菜菌核病、甜菜褐斑病、瓜类白粉病、炭疽病和灰霉病、豌豆白粉病和褐斑病、菜豆灰霉病的使用浓度为300~500毫克/升。种子处理防治麦类黑穗病、玉米丝黑穗病、谷子黑穗病的有效剂量按种子重量为有效成分1~2克/千克。拌种防治棉花苗期病害为有效成分5克/千克。以500~1000毫克/升药液浸种薯,可防治甘薯黑斑病,以1000毫克/升药液洗果,可防治柑橘青、绿霉病,而使贮藏期达到88~128天。其加工制剂有70%可湿性粉剂,50%胶悬剂和36%悬浮剂。药剂对植物安全,可与除铜制剂以外的多种药剂混用。
类似品种 1969年日本曹达公司还推广了硫菌灵(thiophanate)商品名托布津(Topsin)。化学结构式:

其性能、特点和应用对象相似于甲基硫菌灵,生物活性略低于甲基硫菌灵,因此,其用量通常比甲基硫菌灵略高。加工制剂主要为50%可湿性粉剂。(见彩图43)

甲基硫菌灵thiophanatemethyl

又称甲基托布津。内吸广谱性取代苯类杀菌剂。化学名称:1,2-二(3-甲氧甲酰-2-硫脲基)苯。化学结构式如下。原药白色结晶,难溶于水,稍溶于丙酮、氯仿、甲醇等溶剂,铜盐与其形成络合物。1970年日本曹达公司推广。具保护、治疗作用和杀螨卵作用。其内吸性和杀菌活性都比硫菌灵好。水悬浮液在长期贮存下或在植物体内均能被分解为多菌灵,所以其抗菌谱、对病菌的作用方式均同于多菌灵。甲基硫菌灵或硫菌灵在植物体内的抑菌活性均高于体外的活性。对植物安全、对人畜低毒,小鼠(♀)口服急性LD503 400 mg/kg、1%液涂兔皮肤无任何症状,用120 mg/(kg·d)药喂小鼠6个月,无不良影响。

随便看

 

开放百科全书收录579518条英语、德语、日语等多语种百科知识,基本涵盖了大多数领域的百科知识,是一部内容自由、开放的电子版国际百科全书。

 

Copyright © 2000-2025 oenc.net All Rights Reserved
更新时间:2025/11/10 1:10:24