网站首页  百科知识

请输入您要查询的百科知识:

 

词条 生物素
类别 中文百科知识
释义

生物素

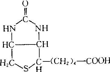
又称“维生素B7”、“维生素F”。B族维生素的一种。化学结构为噻吩与尿素结合而成的一个双环化合物,侧链上有一戊酸。在羧化反应中为多种羧化酶的辅酶。

生物素biotin

α-戊酸-3、4-环脲噻吩。无色,溶于稀碱和温水,沸水溶液中稳定,但能被氧化剂、酸和碱破坏。在生物体内,其羧基常与其专一酶蛋白中赖氨酸的ε-氯基以酰胺键相连。为羧化酶的辅酶,在糖、脂、蛋白质和核酸等物质代谢过程中起二氧化碳载体的作用。在催化反应中,二氧化碳先与脲环上的一个氮原子结合,然后再被转移给其他受体。B族维生素之一,主要缺乏症表现为恶心、呕吐、毛发脱落、鳞屑状皮炎和精神抑郁等。人体因肠道细菌能合成,故一般不易产生缺乏症,但若常吃生鸡蛋,因蛋清中含有抗生物素蛋白,两者结合后使肠壁不能吸收而导致缺乏症。肝、肾、酵母、肉类、蛋黄、牛乳中含量较多。

随便看

 

开放百科全书收录579518条英语、德语、日语等多语种百科知识,基本涵盖了大多数领域的百科知识,是一部内容自由、开放的电子版国际百科全书。

 

Copyright © 2000-2025 oenc.net All Rights Reserved
更新时间:2026/1/12 17:19:59