网站首页  百科知识

请输入您要查询的百科知识:

 

词条 甜菜碱
类别 中文百科知识
释义

甜菜碱betaine

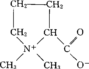
氨基酸氨基上的氢被甲基取代后形成的一类氮甲基化合物或三甲基内盐。常见的有甘氨酰甜菜碱,β-丙氨酰甜菜碱和脯氨酰甜菜碱,其结构式如下。溶解度大,19℃下为157 g/L。主要存在于细胞质中。在干旱或盐逆境中,许多植物体内积累甜菜碱,成为渗透调节的主要有机溶质,对蛋白质和细胞膜有保护作用。其生物合成是由乙醇胺甲基化形成胆碱,再进一步氧化而成。因而与光呼吸和磷脂代谢有密切的关系。

甘氨酰甜菜碱

β-丙氨酰甜菜碱

脯氨酰甜菜碱

随便看

 

开放百科全书收录579518条英语、德语、日语等多语种百科知识,基本涵盖了大多数领域的百科知识,是一部内容自由、开放的电子版国际百科全书。

 

Copyright © 2000-2025 oenc.net All Rights Reserved
更新时间:2026/5/18 16:25:32