网站首页  百科知识

请输入您要查询的百科知识:

 

词条 球面上两点间的距离的计算
类别 中文百科知识
释义

球面上两点间的距离的计算qiumianshang liang dianjian de juli de jisuan

若已知球面上两点A,B的经度和纬度,计算A,B两点的球面距离,可分三种情况:
❶经度相同,纬度不同 设A,B的经度都是东(西)经β度,而它们的纬度分别为北纬α1度和α2度,球半径为R,则A,B两点的球面距离为东(西)经β度线上的长(图1),易知的长=πR/180(α12).

图1


例 求东经38°线上纬度分别为北纬60°和30°的两地A,B间的球面距离.
解 A,B两地的球面距

3334km.

图2



❷纬度相同,经度不同 设A,B的纬度都是北(南)纬α度,而它们的经度分别为东经β1和β2度,球半径为R,则A,B两点的球面距离为过A,B两点的大圆的劣弧的长.如图2,在Rt△AO1O中
O1A=OAcos∠O1AO=

Rcosα


∠AO1B=β2-β1.

在△AO1B中,有


在△AOB中,有


所以


因此


例 已知A,B两地都位于北纬45°,它们的经度分别为30°和60°,求A,B两地的球面距离.

解 这里

α=45°,β1=30°,β2=60°,

由上面的公式

图3



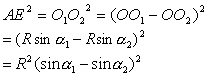
❸经度不同,纬度不同设A在北纬α1度,东经β1度,B在北纬α2度,东经β2度,球半径为R,则A,B两点的球面距离为过A,B两点的大圆的劣弧的长.如图3,设⊙O1与⊙O2分别过A,B的纬度圈,过A,C的大圆与过B,D的大圆分别为A,B的经度圈,作AE⊥平面O2BC,因为经度圈与纬度圈所在的平面互相垂直,所以垂足E在O2C上,连接EB,AB,则


在△O2BE中,有
BE2=O2E2+O2B2-2O2E·O2Bcos(β21)
 

在△AOB中,有

所以

因此


例 已知A地位于北纬30°,东经60°,B地位于北纬60°,东经90°,求A,B两地的球面距离.
解 这里α1=30°,α2=60°,β1=60°,β2=90°,由上面的公式得


使用上面的公式时,应注意北纬与南纬,西经与东经是具有相反意义的量,我们规定北纬与东经的度数为正,南纬与西经的度数为负.
随便看

 

开放百科全书收录579518条英语、德语、日语等多语种百科知识,基本涵盖了大多数领域的百科知识,是一部内容自由、开放的电子版国际百科全书。

 

Copyright © 2000-2025 oenc.net All Rights Reserved
更新时间:2026/1/12 23:12:05