网站首页  百科知识

请输入您要查询的百科知识:

 

词条 环腺苷酸
类别 中文百科知识
释义

环腺苷酸

又称“3’,5’-环AMP”。一种腺苷酸。其磷酸残基与糖上的3’,5’两个羟基酯化形成一个环状二酯。作为一个调节因子,在许多基本的生物代谢过程中发挥重要作用。

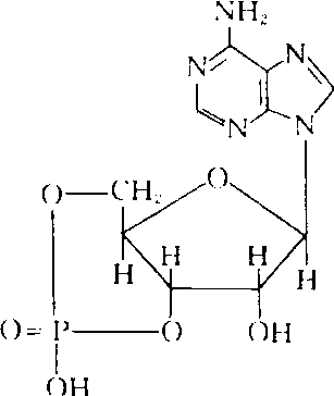
环腺苷酸cyclic adenylic acid

具有环状磷酸二酯结构的腺苷酸。缩写符号为cAMP。腺苷酸的磷酸基以磷酸酯键与核糖的5′碳原子连接,又通过磷酸酯键和该核糖的5′-碳原子连接。结构式如左。普遍存在于动物、植物及微生物细胞中,但含量极低。可在腺苷酸环化酶催化下由ATP转变而来,也可被环腺苷酸磷酸二酯酶水解为AMP。具有传递和放大激素作用信号的功能,被称为第二信使,在代谢调节中起重要作用。还参与大肠杆菌中DNA转录的调控。

随便看

 

开放百科全书收录579518条英语、德语、日语等多语种百科知识,基本涵盖了大多数领域的百科知识,是一部内容自由、开放的电子版国际百科全书。

 

Copyright © 2000-2025 oenc.net All Rights Reserved
更新时间:2026/5/19 15:20:58