网站首页  百科知识

请输入您要查询的百科知识:

 

词条 环状糊精
类别 中文百科知识
释义

环状糊精

淀粉经环状糊精葡萄糖基转移酶作用后的产物。具有疏水性,是食品工业重要原料。

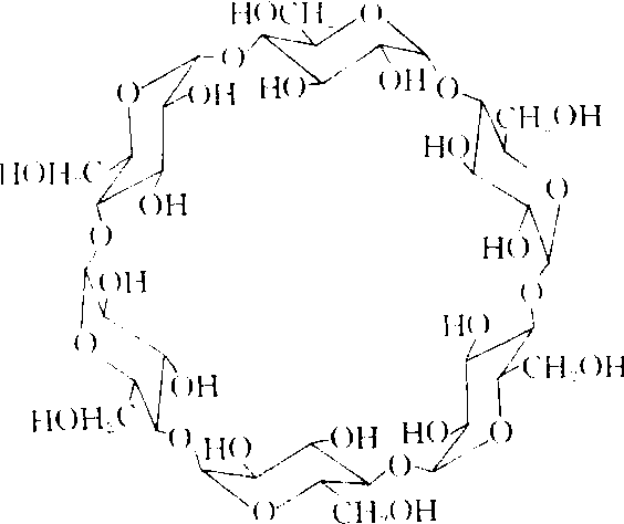
环状糊精cyclodextrin

又称环状麦芽寡糖。6~12个D-吡喃葡萄糖基以α1→4糖苷键头尾连接而成的环状寡糖。研究较多的有3种,含6个、7个和8个D-吡喃葡萄糖基,分别称为环六糊精(α-环状糊精)、环七糊精(β-环状糊精)和环八糊精(γ-环状糊精)。环六糊精的结构式如左。由存在于芽孢杆菌(如软化芽孢杆菌、环状芽孢杆菌和嗜热脂肪芽孢杆菌等)中的环状糊精转糖基酶催化,将直链淀粉或支链淀粉的外围支链转变而成。具有一定程度的阻抗酸、碱和酶的作用,可与某些小分子或离子形成包含络合物,能像酶一样催化酯类水解。作为稳定剂、乳化剂、抗氧化剂、抗光解剂和增溶剂,已大量地应用于食品、医药、化工和轻工业等方面。

随便看

 

开放百科全书收录579518条英语、德语、日语等多语种百科知识,基本涵盖了大多数领域的百科知识,是一部内容自由、开放的电子版国际百科全书。

 

Copyright © 2000-2025 oenc.net All Rights Reserved
更新时间:2025/11/10 16:17:48