网站首页  百科知识

请输入您要查询的百科知识:

 

词条 玉米素
类别 中文百科知识
释义

玉米素

一种天然的作用强烈的细胞分裂素。最初从玉米中提取而来,故名。

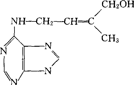
玉米素zeatin

一种天然细胞分裂素。6-(4-羟基-3-甲基-反式-2-烯基)氨基嘌呤。1963年从未成熟的玉米种子中分离出来。化学结构式如下。现已从许多高等植物中找到十几种天然细胞分裂素。具有促进细胞分裂、促进侧芽发育、延缓叶片衰老和蔬菜贮藏保鲜的作用。根部是合成玉米素的重要场所,幼叶、芽、幼果和正在发育的种子中也能形成。

随便看

 

开放百科全书收录579518条英语、德语、日语等多语种百科知识,基本涵盖了大多数领域的百科知识,是一部内容自由、开放的电子版国际百科全书。

 

Copyright © 2000-2025 oenc.net All Rights Reserved
更新时间:2026/5/18 19:08:19