网站首页  百科知识

请输入您要查询的百科知识:

 

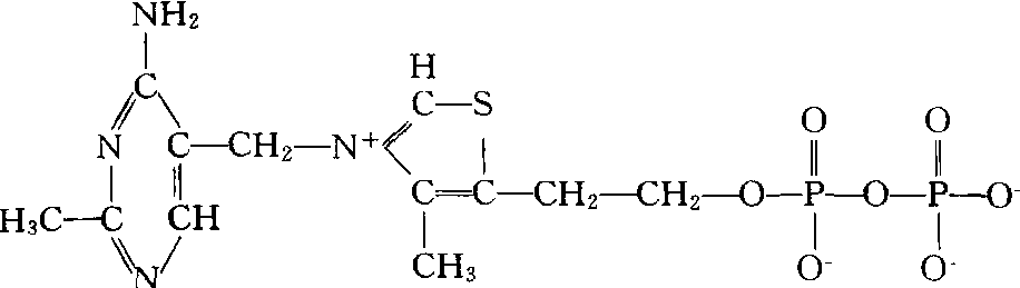
词条 焦磷酸硫胺素
类别 中文百科知识
释义

焦磷酸硫胺素thiamine pyrophosphate,TPP

硫胺素焦磷酸酯。含有维生素B1。在催化反应中,分子内噻唑环2位碳上的氢解离形成负碳离子,与α-酮酸的羧基碳结合形成加成物,进而脱去二氧化碳生成相应的醛。为α-酮酸氧化脱羧酶和转羟乙醛基酶的辅酶,在糖的分解代谢和光合三碳循环中极其重要。

随便看

 

开放百科全书收录579518条英语、德语、日语等多语种百科知识,基本涵盖了大多数领域的百科知识,是一部内容自由、开放的电子版国际百科全书。

 

Copyright © 2000-2025 oenc.net All Rights Reserved
更新时间:2026/5/19 20:52:32