网站首页  百科知识

请输入您要查询的百科知识:

 

词条 点与球面的关系
类别 中文百科知识
释义

点与球面的关系dianyu qiumian de guanxi

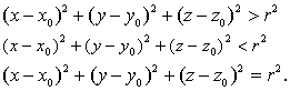
点P(x,y,z)在以P0 (x0,y0,z0)为球心,r为半径的球面的外部、内部和球面上的充要条件分别是

随便看

 

开放百科全书收录579518条英语、德语、日语等多语种百科知识,基本涵盖了大多数领域的百科知识,是一部内容自由、开放的电子版国际百科全书。

 

Copyright © 2000-2025 oenc.net All Rights Reserved
更新时间:2026/1/12 19:37:05