网站首页  百科知识

请输入您要查询的百科知识:

 

词条 灭菌磷
类别 中文百科知识
释义

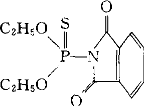
灭菌磷ditalimfos

有机磷杀菌剂。化学名称:O'O二乙基邻苯-甲酰亚胺硫代磷酸酯。化学结构式如下。原药为白色结晶,水中溶解度133 mg/kg(室温)溶于正己烷、环己烷、乙醇、苯、四氯化碳、乙酸乙酯及二甲苯。常温下稳定,碱性条件下高于熔点(83~84℃)不稳定。耐紫外光分解。1966年由美国道化学公司推广。保护性杀菌剂。叶面喷洒用于防治苹果白粉病、黑星病。大鼠急性口服LD50为5 660 mg/kg、每天以51 mg/kg剂量饲喂大鼠,连续102天,未见中毒病状。对植物安全,有时出现轻度药害。

随便看

 

开放百科全书收录579518条英语、德语、日语等多语种百科知识,基本涵盖了大多数领域的百科知识,是一部内容自由、开放的电子版国际百科全书。

 

Copyright © 2000-2025 oenc.net All Rights Reserved
更新时间:2026/5/18 18:04:58