网站首页  百科知识

请输入您要查询的百科知识:

 

词条 激动素
类别 中文百科知识
释义

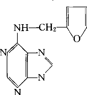
激动素kinetin,KT

一种具细胞分裂素活性的DNA降解产物。为非天然的细胞分裂素。1955年米勒(C. D. Miller)等从高压灭菌后的DNA中分离、结晶出一种能促进细胞分裂的物质,并定名为激动素。迄今未发现植物体内有激动素的存在。化学名称:6-糠氨基嘌呤或6-糠基腺嘌呤。结构式如右。分子量215.2。易溶于稀盐酸、稀氢氧化钠,微溶于冷水、乙醇、甲醇。主要作用是促进细胞分裂,并有延缓衰老及保绿作用。常用于植物组织培养。

随便看

 

开放百科全书收录579518条英语、德语、日语等多语种百科知识,基本涵盖了大多数领域的百科知识,是一部内容自由、开放的电子版国际百科全书。

 

Copyright © 2000-2025 oenc.net All Rights Reserved
更新时间:2026/5/18 23:32:35