网站首页  百科知识

请输入您要查询的百科知识:

 

词条 沈括
类别 中文百科知识
释义

061 沈括

宋代科学家和政治家。晚年著有《梦溪笔谈》,其内容包括数学、物理、化学、天文、地质、地理、气象、工程技术、生物、医药等。“石油”这一名词即为该书首次使用。并对石油的性状、用途颇有研究,曾以石油制成碳黑以制墨,时称“延川石液”;还曾用石油炼制出“猛火油”并用于军事,是世界最早的炼油技术。


065 沈括1031—1095

北宋科学家。毕生献身科学,所撰《梦溪笔谈》26卷,又 《补笔谈》3卷,《续笔谈》1卷,计30卷609条。其中大量篇幅记载了我国古代特别是北宋时期的自然科学成就。在物理学方面,他发现了地磁偏角的存在;阐述了凹面镜成像的原理。特别是对声学的研究有着很多的精辟见解,他阐述了关于乐律、古琴的制作和传声、古乐钟的发声、共鸣现象等声学知识,并记载了声的共振实验,在我国古代声学发展史上占有相当重要的地位。


069 沈括1031—1095

宋代科学家。他1066年始习天文,通过实践观测,认识到岁差现象是一种自然规律,曾用半面涂了白粉的弹丸演示月相变化,判断陨石成分主要是铁,指出北极星不位于北天极,行星有往复视运动现象。在主管司天监期间,改制天文仪器,推荐卫朴编《奉元历》,发现太阳视运动不均匀,“冬至日行速……夏至日行迟”,提出《十二气历》,建议用以节气为主的阳历,认为规则简单,便于指导农事,著有《浑仪议》、《浮漏议》、《景表议》等。晚年著《梦溪笔谈》,学识渊博广泛。


081 沈括

北宋科学家。注重实地考察。曾经兴修沂沐河水利,筑成渠堰,开辟良田。规划芜湖万春圩,免除水害。熙宁八年(1075)撰写《使契丹图抄》1卷,并制作木刻地形模型,作为边郡仿制的样品。熙宁九年(1076)奉旨编修《天下州县图》,元祐二年(1087)编成。地质学方面,由雁荡山的地形,认识流水的侵蚀作用;从太行山岩石中的化石,推论冲积平原的形成及海陆变迁。记载陕北一带石油,预测“此物后必大行于世”。气候学方面,阐述物候差异及气候变迁。此外,对月光来源及盈亏关系,黄道与白道交点的移动速率,虹的形成,地磁偏差现象等都有发现和记述。


038 沈括1031—1095

撰《梦溪笔谈》30卷,在第26卷“药议”及《续笔谈》、《补笔谈》中记载大量医药学方面的成就。对药物形态、用途、体内吸收过程均有论述。又著《沈氏良方》10卷,记录大量医疗验方,收集许多疾病诊治及用药等民间医话,有一定参考价值。其中秋石方记录了从人尿中提取性激素制剂,实为世界制药化学史上光辉业绩。沈括为我国科技史上杰出人物,受到中外人士赞誉。


147 沈括1031—1095

北宋科学家、政治家。宋元科学发展的先驱。字存中,浙江钱塘(今杭州)人。仁宗嘉祐八年(1063)进士。神宗时任翰林学士,累官太子中允。他“博学善文,于天文、方志、律历、音乐、医药、卜算,无所不通,皆有所论著。”(《宋史·沈括》)为科学史乃至世界史上罕见的奇才。他注重实际,能深入下层实地考察,并亲自进行科学实验,掌握了大量的第一手材料。在数学、天文、物理、地理、地质等许多学科和广泛领域均有极大贡献。在数学方面,发明“隙积术”,给出长方台形垛积公式,开辟了研究高阶等差级数求和问题的新方向。创立“会圆术”,在中国数学史上第一个研究弓形的弦、矢(高)、弧间关系,推出计算弧长的近似公式。该公式在《授时历》中得到实际应用。计算了“棋局都数”,运用了组合方法与指数运算律。这在中世纪是很先进的数学思想。对于数学方法,沈括认为应“见简即用,见繁即变,不胶一法,乃为通术。”给出不少简算法。晚年著笔记体文集《梦溪笔谈》30卷。内容甚丰,领域极广。总结了古代到北宋中叶的科技成就,且极富科学创见。著名科技史家李约瑟(J.Needham)誉之为“中国科技史的里程碑”。

沈括1031—1095Shen Kuo

我国宋代科学家。浙江杭州人。宋嘉佑年进士。参加过王安石变法,担任过宋代官吏。晚年居住于江苏镇江。著有《梦溪笔谈》 一书,内容涉及甚广,其中记述了他观察到的一些化学现象与化合物的性质。例如,他记录了流星陨落的经过,并用比较色泽及比重的方法,指出陨石主要是由铁组成的。“石油” 一词也是由沈括首先提出的,他说“鄜延境内有石油,……燃之有浓烟……”,并指出“此物后必大行于世”。充分说明我国早在宋代就发现了石油。他还观察到了金属活动性的差异,记有“信州铅山县有苦泉,流以为涧,挹其水熬之,则成胆矾,烹胆矾则成铜,熬胆矾铁釜久之亦化为铜。”胆矾即硫酸铜,具有苦味,其溶液在铁锅中加热时,发生了置换反应。此外,他还记述了太阴玄精石 (即石膏) 的晶形,加热后失去结晶水的情况。书中还指出朱砂 (即氧化汞) 具有剧毒。《梦溪笔谈》 一书,充分显示了沈括在观察与记述自然科学上的成就。


沈括1031—1095,近人考证为1032~1096ShenKuo

北宋科学家、政治家。字存中,杭州钱塘人。仁宗嘉祐进士,神宗时参加王安石变法运动。熙宁五年(1072)提举司天监,次年赴两浙考察水利、差役。熙宁八年出使辽国,根据图籍,据理力争,驳斥其争地要求。元丰三年(1080)知延州(今延安),防御西夏。后二年,边将徐禧为西夏败于永乐城(今陕西米脂县),因兵少未救连累受贬。其后乃脱离仕途,于元祐元年(1086)居润州,筑梦溪园(今江苏镇江东郊),举平生见闻,撰《梦溪笔谈》。沈括具有多方面的才能,《宋史》说他“博学善文”,对于天文、地理、地质、数理、气象、农业、医药、历法、法律、音乐等都有一定的造诣。在他从政期间,曾经兴修水利,修渠筑堰,开辟良田,做了许多有利于生产的工作。在司天监时,观测天象,绘图多幅,改造仪器,并提倡新历法,与现今阳历相似。他还曾奉旨编修天下州县图。沈括善于观察自然现象,善于动脑思索,常有独到的见解。他的著述很多,至今除《梦溪笔谈》、《长兴集》(文集)残本(原四十一卷,存十九卷)和一部分医方外,均已佚失(参阅“梦溪笔谈”条)。


沈括1030—1094Shen Kuo

北宋科学家,著述极多.其《梦溪笔谈》中的数学内容有:❶隙积术.设一长方台垛,其顶层宽有α个物体,长有b个;底层宽有c个,长有d个,共n层,则总数为

沈括给出了公式并提出了证明方法,成为中国垛积术研究的开端.
❷会圆术. 如图,设弓形的弦、矢、弧分别为c,v,s,沈括给出公式


❸棋局都数. 围棋盘上每个交叉点有三种可能:空、白、黑. 沈括运用组合学观点论证: 方n路n2个交叉点共有3n3种情况,全局方19路共3361种情形,计算中用到指效法则am·an=am+n.书中还涉及一些运筹学思想.


沈括1031~1095Shen Kuo

字存中,北宋钱塘(今杭州)人,我国古代杰出的博学家。从小好学,除读儒家“经典”外,还通览诸子百家史记小说。曾当过县令、司天监、军器监、翰林院士等。对天文、历法有很深的研究,晚年所著的《梦溪笔谈》是举世闻名的科学巨著。
《梦溪笔谈》主要总结了我国北宋时期自然科学的辉煌成就。内容涉及天文、历法、气象、数学、水利、地质、地理、物理、化学、生物、医药、建筑、冶金、文史考古以及音乐艺术等十分广阔的领域。而且在上述诸方面的研究成果都达到很高的水平。《梦溪笔谈》也生动地记载了沈括在物理学上的杰出贡献。指南针是我国的四大发明之一。沈括对指南针做了许多实验,把指南针放在水面上、放在手指甲上、放在碗边上,都不够满意,后来他想到取单股蚕丝用蜡粘在指南针的针腰上,悬挂在避风处,针就平稳地指南了。这是世界上最早的关于指南针的实验记录。沈括还发现了磁偏角,他写道“常微偏东,不全南也。”这比1492年哥伦布远渡大西洋观测到的磁偏角早400多年。沈括在光学方面有很深的研究,他通俗地讲了凹面镜成像和针孔成像的道理,还对光的直线传播和折射现象进行了研究,解释了虹的科学道理。沈括对声学也有许多精辟的见解。他阐述了关于乐律、古乐钟的发声、古琴的制作和传声、共鸣等声学知识,并记载了共振实验,这对于声学的发展起了重要的促进作用。
沈括还制造和改进了不少天文仪器,如他改进了浑天仪、制造了浮漏(计时仪器)和测日影的铜表,并将其原理写成了《浑仪议》、《浮漏议》和《景表议》等论文;还解释了月亮盈亏和日、月蚀现象;对流星的声、光、形、色以及轻重进行了研究,并把陨星与铁相提并论,这是天文学史上的一次重大发现。比法国最早的记录还早600多年。
沈括是最早发现和命名石油的人,他对古地理、古生物都有很深的研究,领先于中外学者。沈括在世界历史上是一个罕见的多才多艺的人物。当代英国著名学者李约瑟称他是“中国科学史上最奇特的人物”,称赞《梦溪笔谈》为中国科学史上的里程碑。


沈括1031—1095Shen Kuo

宋代科学家、文学家。字存中。钱塘(今浙江杭州)人。嘉祐八年(1063)进士。曾任太常丞、翰林学士等职。沈括所著《梦溪笔谈》是一部内容广博的笔记著作,涉及自然科学的许多领域,具有很高的科学价值。其中也涉及人文科学以及文学艺术等领域,如论音乐的内容便有很多独到见解。《梦溪笔谈》的文字质朴无华,然而许多篇章文笔明快,形象鲜明,具有较浓的文学色彩。

沈括约1031—1095Shenkuo

中国北宋科学家、政治家。祖籍浙江钱塘(今杭州),父亲沈周任地方官吏多年。沈括自幼好学, 青年时因父荫做过多年地方官,
嘉祐八年(1063)登进士第, 任扬州司理参军。1070年后参加王安石变法,失败后屡遭排挤。晚年隐居于润州(今镇江)梦溪园私宅,潜心著述,完成了不朽的科学巨著《梦溪笔谈》, 其中有关科学技术的近200条,涉及数学、天文历法、气象、地质、地理、物理、化学、建筑、水利、生物、农学、医药、工程技术等许多学科,其数学成就是创立“隙积术”、“会圆术”及对“棋局都数”的探讨。
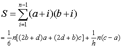
“隙积术”是计算依次堆成长方台形的酒坛等规则离散物体总个数的方法,因堆积时中间有空隙,故称隙积, 其数学意义是二阶等差数列的求和。设一长方台垛,其顶层宽有a个物体,长有b个;底层宽有c个物体,长有d个,共n层,由于堆放时,任意相邻的两层,上面一层的长、宽各比下面一层长、宽减少一个物体,因而有关系式

c=at (n-1), d=b+ (n-1)


总个数s应按s=(a+i) (b+i)计算,求和结果应为
沈括正确地给出了这 一公式并提示了证明方法, 成为中国垛积术研究的开端。
“会圆术”是已知圆的直径d和弓形的高h,求弓
形的底b和弧长s的方法。又若记r=d/2是圆的半径,
沈括给出的底长与弧长公式分别为:
其中r=OA,h=CD,b=AB,s=ADB,由于弧长公式按《九章算术》弧田术推得, 误差较大, 但当圆心角较小时仍可得
较好的近似值。
“棋局都数”: 围棋盘上每个交叉点布子时有三种可能:空、白、黑。沈括运用组合学观点论证:方n路n2个交叉点共有3n2种情况, 全局方19路共有3361种情
况。计算中用到指数法则am·an=am+n,书中还涉及一些运筹学思想。沈括以其对古代科技全面而精彩的论述,被称为“中国科技史上的一个
坐标”。

沈括1031~1095

北宋科学家、文学家。字存中。杭州钱塘(今浙江杭州市)人。仁宗嘉 八年中进士。神宗时,积极参与王安石变法,后来变法失败,受到保守派打击,被贬到均州做团练副使。元丰五年,因西夏攻陷永乐城,遭贬。晚年定居润州梦溪园。
沈括博学多识,对天文、地理、方志、律历、音乐、医药、卜算、考古等都颇有研究。他所著的 《梦溪笔谈》 一书,内容丰富,涉及了自然科学与社会科学的广阔领域,具有很高的科学价值,是我国科学史上的一份宝贵遗产。另外,《梦溪笔谈》的许多篇章写得明快精练,语言生动形象,有较浓的文学意味。
今存《长兴集》 41卷,其中有一些游记写得也很有特色。例如 《苍梧台记》: “东望有山蔚然,立于大海洪波之中,日月之光,蔽映上下。”就写得新颖、生动。

沈括1033—1097或1031—1095

北宋科学家。字存中,杭州钱塘(今浙江杭州)人。仁宗嘉佑进士。神宗时参与王安石变法活动。曾历任提举司天监、翰林学士、权三司使、知廷州等。晚年于润州(今江苏镇江)梦溪园撰《梦溪笔谈》三十卷。又曾推荐卫朴编修《奉元历》,主张革除旧历法,以节气定月,创“十二气历”。比欧洲早400年发现地磁偏角的存在。数学上创立“隙积术”、“会圆术”。著医书《良方》、《灵苑方》。又最早提出“石油”的命名。有《长兴集》传世。参见“梦溪笔谈”,及“数学”、“物理”、“地理”中的“沈括”。


沈括

中国北宋自然地理学家。曾主持修订历法和修筑芜湖一带的万春圩,在中国水利史上占有重要位置。并根据诗人白居易的“人间四月芳菲尽,山寺桃花始盛开”,的诗句,进山实地观察,弄清了地形、气候对植物生长的影响,详细考察过雁荡山和太行山,认识了水的侵蚀作用,并从岩石中的生物遗迹,推知冲积平原的形成过程,奠定了流水地貌的理论基础。所著《梦溪笔谈》,是一部以地理考察、游记为主的自然和社会科学的综合性著作。国外称他为“中国科学史上的座标”。参见“历史”中的“沈括”。


沈括1031—1095

北宋科学家、政治家。字存中,杭州钱塘(今属杭州)人。他精研科学,成果丰硕。在地质学方面,由雁荡等山的地形,认识了水的侵蚀作用;从太行山岩石中的生物遗迹,推论出冲积平原形成的过程。以平生见闻,撰有《梦溪笔谈》等著作。


沈括1031—1095

中国北宋科学家、政治家。在数学方面创立隙积术(二阶等差积数求和法)和会圆术(已知圆的直径和弓形的高,求弓形的弦和弧长的方法)。著《梦溪笔谈》等。参见“历史”中的“沈括”。


沈括

在其著作《梦溪笔谈》中,提出了指南针的四种装置方法,并同时指出地磁偏角问题,阐述了小孔成像、凹面镜成像的规律,对共振现象等亦有较多的观察研究。参见“数学”中的“沈括”。

沈括1031—1095

北宋文学家、科学家。字存中,杭州钱塘(今浙江杭州)人。嘉祐八年(1063)进士。神宗时参加王安石变法,历任太子中允,提举司天监、太常丞等职。熙宁八年(1075)出使辽国,驳斥辽国的争地要求,还拜翰林学士。后知延州(今陕西延安),防御西夏,元丰五年(1082),因西夏攻陷永乐城,坐贬。晚年卜居润州(今江苏镇江)梦溪园。沈括博学能文,有名于当世。他对天文、地理、方志、律历、音乐、医药、卜算、考古等无所不通,著述甚丰,但多亡佚。所著《梦溪笔谈》对当时科学技术发展情况等广为记录,有极大科学价值和史料价值,是一部综合性科学学术著作。其散文风格平易流畅而又简练明快,善为四六文,无浮华之气。除《梦溪笔谈》外,还有《长兴集》传世。

沈括1031—1095

我国北宋时期科学家。字存中,杭州钱塘(今浙江杭州)人。仁宗嘉祐进士。神宗时积极参加王安石变法运动。曾任提举司天监、权三司使、翰林学士、知延州等职。晚年迁居润州(今江苏镇江)梦溪园,从事科学研究活动。他一生著述甚多,最著名的是《梦溪笔谈》,是当时一部罕见的综合性科学巨著。英国科学史家李约瑟称其为“中国科学史上的坐标”。其科技伦理思想主要表现在:(一)世无先知,注重实践。他说:“人有前知者,数十百千年事皆能言之,梦寐亦或有之,以此知万事无不前定。予以谓不然,事非前定。方其知时,即是今日,中间年岁,亦与此同时,无非先后。”(《(梦溪笔谈)选注》第177页,上海古籍出版社1978年版)“予占天候影,以至验予仪象,考数下漏,凡十余年,方粗见真数”(同上书,第50页)。(二)不畏艰险,勇于创新。熙宁五年沈括负责领导司天监以后,首先改革了浑仪、浮漏和影表等,并将其革新成果写成《浑仪议》、《浮漏议》和《影表议》三篇论文,阐明革新仪器的原理,论述了自己的天文学理论。他不顾守旧势力阻挠和反对,晚年又提出用“十二气历”代替原来的历法。虽未实行,但他坚信“异时必有用予之说者”(同上书,第258页)。800年后太平天国颁发了同其基本原理完全一致的《天历》。现在英国气象局用的《肖伯纳历》,与其原理也相同。《三)尊重他人,不计名利。他对于别人的科研成果十分尊重。《梦溪笔谈》中,对河工高超的巧合龙门,木匠喻皓的建筑技术,平民毕升的活字印刷,都有详细的记录,传之后世。他为自己领导修成的《奉元历》写的序言中只提卫朴,不提自己。(四)刻苦钻研,博学多识。沈括一生政务占去了大部分时间,但无论得志、失意,他从未放弃科学研究,他的广博的学识,全是靠自学得来的。他在天文学、数学、物理学、化学、地学、医学、生物学,几乎所有的自然科学领域都进行过深入的研究,并取得卓越的成果,李约瑟称沈括为“中国整部科学史中最卓越的人物”。竺可桢也说:沈括“潜心研究科学,亦是为中国学术史增光”(《竺可桢文集》第69页,科学出版社,1979年版)。

沈括


沈括1031——1095

字存中。宋杭州钱塘(今浙江杭州)人。嘉佑进士,除扬州司理参军,熙宁中参与王安石变法。历检正中书刑房公事、提举司天监。迁集贤校理,擢知制诰兼知通进银台司。熙宁八年(1075),出使辽国。元丰五年(1082)坐罪责授均州团练副使、随州安置。徙秀州。晚年居润州梦溪园。他博学多闻,于天文、地理、典制、律历、音乐、医药等无所不通,著述近40种,多亡佚。现存有《梦溪笔谈》、《长兴集》、《苏沈良方》等。沈括的文章,如其《梦溪笔谈》所载,往往精确详实,文理缜密,明快简洁,中心突出,然又长于形容,摇曳多姿,堪称是富有文学情味的科学小品。

沈括

沈括 (1031—1095),中国科学家、政治家。字存中,北宋杭州钱塘人。仁宗嘉祐进士,历任县令、知州、司天监、军器监、翰林学士等官职。神宗时参加王安石变法运动。注重实践,精研科学,重视劳动人民在生产斗争中积累的经验。
在数学方面,沈括创立 “隙积术”(二阶等差级数的求和法) 和 “会圆术”(已知圆的直径和弓形的高,求弓形的弦和弧长的方法),并用数学方面算出每日微差时间的大小。在物理学方面,沈括发现存在地磁偏角,比欧洲早400多年,指出指南针并不指向正南,而是略微偏东。曾阐述凹面镜成像的原理。对共振等规律也有研究。沈括在任司天监期间,对天文学进行深入研究,不仅亲自参加实际的天文测量,而且亲自动手研制观测仪器,还画出200多张测定极星的位置图,计算出北极星并不在北极,而是偏离北极一度多。在地质学方面,沈括从雁荡山等的地形认识了水的浸蚀作用,从太行山岩石中的生物遗迹,推知冲积平原的形成过程。在地理学方面,沈括曾对定州西部山区的山脉、河流、道路和山势等进行仔细勘察,并用木屑、面糊和熔蜡制成地势模型,比欧洲出现类似的地理模型早700多年。
沈括坚持工作12年,编制了一套由20幅地图组成的 《守令图》 (即《天下州县图》),在比例尺、方位和精度方面,比前人有显著进步,其中最大的一幅高1丈2尺,宽1丈。沈括和卫朴 (天文数学家) 一道主持修订 《奉元历》,对传统历法的缺点进行科学分析,提出采用太阳历即 “十二气历” 的主张。按十二节气把年分成12个月,“十二月常一大一小相间,纵有两小相并,一岁不过一次。” 与现行阳历相比,并不逊色。
在医学方面,沈括对药用植物精心研究,并留心记录民间的有效药方,著有《良方》 10卷。沈括在任东海、宁国等县令期间,积极提倡兴修水利,重视发展农业生产。在他主持下,在沐阳 “疏筑百渠九堰”,使70万亩土地受益。在宁国曾修复规模较大的 “万春圩”,并著有《圩田五说》 一书。沈括晚年居润州 (今江苏镇江),筑梦溪园,专心从事著述,把一生见闻和研究心得写成一部巨著一 《梦溪笔谈》。该书现传本为26卷,加上 《补笔谈》 3卷,《续笔谈》 1卷,共30卷。其中涉及科学技术的有200多条,内容包括数学、物理、化学、天文、地质、地理、气象、工程技术、生物和医学等方面。这是中国古代科学史上的杰作,也是世界科技资料库中的一份宝贵遗产。

沈括1031—1095

北宋卓越的科学家。字存中,杭州钱塘人。嘉祐进士。宋神宗时参与王安石变法。熙宁五年(1072)提举司天监。九年(1076)任翰林学士,权三司使。因主张减少户役钱,受弹劾被贬。元丰三年 (1080) 知延州 (今延安),加强对西夏的防御。五年(1082) 因永乐城(今陕西米脂西)被西夏军攻陷而受牵连。晚年退居润州 (今江苏镇江东)梦溪园。博学多才,精研科学,著书浩富,所撰近40种,大多遗失,传世甚少。其名著《梦溪笔谈》30卷,涉猎天文、数学、物理、化学、生物、地理、气象、医药等众多学科领域,总结了中国当时自然科学的主要成就。尤精于天文历法,创“十二气历”,还对隙积术、会圆术、地磁偏角、水蚀等原理有创见。是首先提出 “石油”命名的人。传世还有《灵苑方》。《良方》等药物学、医学方面的著作。


沈括

沈括 (1031—1095),中国科学家、政治家,字存中,北宋杭州钱塘人。仁宗嘉祐进士,历任县令、知州、司天监、军器监、翰林学士等官职。神宗时参加王安石变法运动。注重实践,精研科学,重视劳动人民在生产斗争中积累的经验。
在数学方面,沈括创立 “隙积术”(二阶等差级数的求和法)和 “会圆术”(已知圆的直径和弓形的高,求弓形的弦和弧长的方法),并用数学方法算出每日微差时间的大小。在物理学方面,沈括发现存在地磁偏角,比欧洲早400多年,指出指南针并不指向正南,而是略微偏东。曾阐述凹面镜成像的原理。对共振等规律也有研究。沈括在任司天监期间,对天文学进行深入研究,不仅亲自参加实际的天文测量,而且亲自动手研制观测仪器,还画出200多张测定极星的位置图,计算出北极星并不在北极,而是偏离北极一度多。在地质学方面,沈括从雁荡山等的地形认识了水的浸蚀作用,从太行山岩石中的生物遗迹,推知冲积平原的形成过程。年地理学方面,沈括曾对定州西部山区的中脉,河流、道路和山势等进行仔细察年,并用木屑、面糊和熔蜡制成地势模型,比欧洲出现类似的地势模型早700多年。
沈括坚持工作12年,编制了一套由6幅地图组成的 《守令图》 (即 《天下州县图》),在比例尺、方位和精度方面,比前人有显著进步,其中最大的一幅高1丈2尺,宽1丈。沈括和卫朴 (天文数学家)一道主持修订 《奉元历》,对传统历法的缺点进行科学分析,提出采用太阳历即 “十二气历”的主张。按十二节气把年分成12个月,“十二月常一大一小相间,纵有两小相并,一岁不过一次。”与现行日历相比,并不逊色。
在医学方面,沈括对药用植物精心研究,并留心记录民间的有效药方,著有《良方》10卷。沈括在任东海、宁国等县令期间,积极提倡兴修水利,重视发展农业生产。在他主持下,在沭阳 “疏筑百渠九堰”,使70万亩土地受益。在宁国曾修复规模较大的 “万春圩”,并著有 《圩田五说》一书。沈括晚年居润州 (今江苏镇江),筑梦溪园,专心从事著述,把一生见闻和研究心得写成一部巨著——《梦溪笔谈》。该书现传本为26卷,加上《补笔谈》 3卷,《续笔谈》 1卷,共30卷。其中涉及科学技术的有200多条,内容包括数学、物理、化学、天文、地质、地理、气象、工程技术、生物和医学等方面。这是中国古代科学史上的杰作,也是世界科技资料库中的一份宝贵遗产。

沈括

宋代科学家。杭州市钱塘人,1031年生于四川省简阳(今简阳市)。北宋至和元年(1054)借父荫出仕9年后,于嘉祐八年(1063)登进士第。历任地方官,有政绩。1061年在芜湖修万春圩,辟田1000余顷。1064年任扬州司理参军。1066年编校昭文馆书籍。1068年至1077年参与王安石变法。1072年主管司天监,修汴河,1074年制成新的浑天仪和漏壶。1080年知延州,1081年与西夏作战,1082年授均州团练副使。1087年完成《天下郡县图》,图共9幅。其文集有《长兴集》41卷,今存19卷。此后30年间结合公务进行科学活动,如负责编制《奉元历》时,发现了磁偏角;在扬州工作时,创出积隙术(高阶等差级数术和);奉命测量汴运河地形,是世界首次;出差河北,发现大平原的沉积成因; 出差两浙,发现雁荡山的侵蚀成因;等等。这类领先世界2~8世纪的学术观点,有10项以上。元丰三年(1080)任鄜延路经略安抚使时,考察了延河两岸的油苗,遂即在众多的称谓中,确定“石油”一词。晚年隐居于润州(今江苏省镇江市),1095年病逝于梦溪园。所著《梦溪笔谈》600余篇,1/3内容属于自然科学。

随便看

 

开放百科全书收录579518条英语、德语、日语等多语种百科知识,基本涵盖了大多数领域的百科知识,是一部内容自由、开放的电子版国际百科全书。

 

Copyright © 2000-2025 oenc.net All Rights Reserved
更新时间:2025/11/10 12:03:29