网站首页  百科知识

请输入您要查询的百科知识:

 

词条 氰戊菊酯
类别 中文百科知识
释义

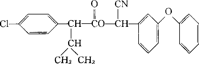
氰戊菊酯fenvalerate

具有较高生物活性非三元环结构的合成拟除虫菊酯杀虫剂。商品名和其他名称有速灭杀丁、杀灭菊酯、敌虫菊酯、戊酸氰醚酯、Sumicidin、Belmark、Pydrin等。有四个光学异构体。化学结构式:

1973年日本大野(N.Ohno)等首先研制,由日本住友化学公司(Sumitomo Chemical Co.,Ltd.)等开发投入生产。
性能 原药为黄色至褐色透明粘稠油状液体,室温下有部分结晶析出,有轻微的化学气味,沸点300℃/4932.9帕,密度d25251.175,25℃ 时蒸气压为3.7×10-5帕。对光、热稳定,在弱酸性和中性介质中较稳定,碱性介质中易分解,pH4的介质中最稳定,正常条件下贮存稳定,加热至150~300℃才逐渐分解。难溶于水,易溶于乙醇、丙酮、乙醚、煤油、氯仿、环己酮、二甲苯等有机溶剂。对高等动物毒性中等,原药对大鼠急性经口LD50为451毫克/千克(二甲基亚砜作载体),大于3200毫克/千克(水悬浮液),对兔急性经皮LD50大于2500毫克/千克,对大鼠急性经皮LD50大于5000毫克/千克,对大鼠急性吸入LC50大于4.94毫克/升(4小时),对皮肤有轻度刺激作用,对眼睛有中等刺激作用。在试验剂量内对试验动物未发现致畸和致癌作用。暂定对人体每日允许摄入量(TADI)为0.02毫克/千克。对鱼类等水生生物、蜜蜂、家蚕高毒,对鸟类低毒。杀虫活性较高,属神经毒剂,具有触杀和胃毒作用,有一定的驱避作用,无内吸传导和熏蒸作用。还具有一定的杀卵能力。气温稍低时,杀虫效果比气温高时好,夏季宜在近傍晚时施药。杀虫谱广,对鳞翅目、同翅目、直翅目、半翅目等多种害虫有效,对螨类无效。
应用 加工成乳油、粉剂、颗粒剂、可湿性粉剂、超低容量液剂等剂型使用。主要用于棉花、蔬菜、果树、茶树、大豆、旱地、林业等作物,防治各种蚜虫、棉铃虫、棉红铃虫、蓟马、叶蝉、菜青虫、斜纹夜蛾、二十八星瓢虫、果树食心虫、柑桔潜叶蛾、柑桔介壳虫、茶尺蠖、茶毛虫、茶丽绿刺蛾、黑刺粉虱、大豆食心虫、旱地玉米螟、马尾松毛虫、赤尾松毛虫、杨树双尾天社蛾等。喷雾要均匀,对钻蛀性害虫应在幼虫蛀入作物前施药,残效期一般为7~10天,茶树上为5~7天。
日本住友化学工业株式会社还开发了生物活性更高的(S)酸(S)醇氰戊菊酯(高氰戊菊酯,esfenvalerate,CA:[66230-04-4],商品名称有来福灵、Sumi-alpha),其生物活性比一般氰戊菊酯高4倍。

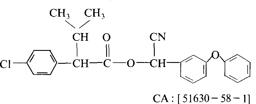
氰戊菊酯fenvalerate

又称敌虫菊酯、速灭菊酯、sumicidin。化学名称:(R、S -)α-氰基-3-苯氧基苄基(R,S)-2-(4-氯苯基)-3-甲基丁酸酯。化学结构式如下。纯品为黄色油状液体,密度1.17 g/22℃。折射率1.5655/21.5℃。25℃时蒸气压373.3×10-7 Pa,20℃水中溶解度<20 μg/kg,易溶于各种溶剂。主要是触杀作用对鳞翅目幼虫效果特别好,对螨类药效低,长期使用害虫极易产生抗性。可以防治棉、蔬菜、果树、杂粮上各种害虫。大鼠口服毒性LD50为451 mg/kg,小鼠(♂)为200~300 mg/kg,小鼠(♀)为100~200 mg/kg。对鱼和蜜蜂剧毒。

氰戊菊酯

拟除虫菊酯类杀虫剂,又称速灭杀丁。1973年由日本研制,1976年开始推广,到1981年已有60多个国家应用。纯品为棕黄色油状物。酸性溶液中稳定,碱性溶液中易分解。剂型主要为20%氰戊菊酯乳油。广谱性杀虫剂,对鳞翅目幼虫特别有效,施用量每公顷75~150 g。

随便看

 

开放百科全书收录579518条英语、德语、日语等多语种百科知识,基本涵盖了大多数领域的百科知识,是一部内容自由、开放的电子版国际百科全书。

 

Copyright © 2000-2025 oenc.net All Rights Reserved
更新时间:2026/5/19 10:09:54