网站首页  百科知识

请输入您要查询的百科知识:

 

词条 氨基甲酸酯杀虫机制
类别 中文百科知识
释义

氨基甲酸酯杀虫机制mechanism of carbamate insecticide

氨基甲酸酯杀虫剂通过抑制制昆虫体内乙酰胆碱酯酶AchE,阻断正常神经传导导,引起整个生理生化过程的失调,使昆虫中毒死亡。
作用机制 在正常情况下,昆虫神经冲动传导到神经末梢,在突触前膜会释放出乙酰胆碱引起突触后膜电位变化,因而产生兴奋。释放于突触间隙的乙酰胆碱被神经细胞中乙酰胆碱酯酶分解,这样神经传导才能继续进行。如果乙酰胆碱酯酶被抑制而失去活性,释放出的乙酰胆碱不再被分解,而积累起来,使正常的神经传导受阻断,昆虫就会出现中毒症状。氨基甲酸酯杀虫剂对乙酰胆碱酯酶有很强的亲合性,能与它发生反应生成氨基甲酰化酶,而抑制乙酰胆碱酯酶。氨基甲酸酯与有机磷酸酯对AchE的抑制作用相类似,但有机磷酸酯对AchE的抑制是不可逆的,而氨基甲酸酯对AchE的抑制是可逆的。氨基甲酰化酶较不稳定,易水解。在碱性介质中,氨基甲酰化酶水解成游离的乙酰胆碱酯酶和取代氨基甲酸(图1),酶的活性又恢复。


图1 氨基甲酸酯对乙酰胆碱酯酶的抑制反应

氨基甲酸酯的氨基甲酰化酶的分解过程比有机磷酸酯的磷酰化酶的分解快。以化合物的一般半恢复时间(恢复为乙酰胆碱酯酶)来衡量,氨基甲酸酯的半恢复时间约20~60分钟,不同结构的氨基甲酸酯半恢复时间顺序为二甲基氨基甲酸酯>甲基氨基甲酸酯>氨基甲酸酯,相应的全恢复时间长达几天。有机磷酸酯的半恢复时间比较长,一般为80~500分钟。其中异丙基磷酰化酶则不能恢复,相应的全恢复时间长达几个月。
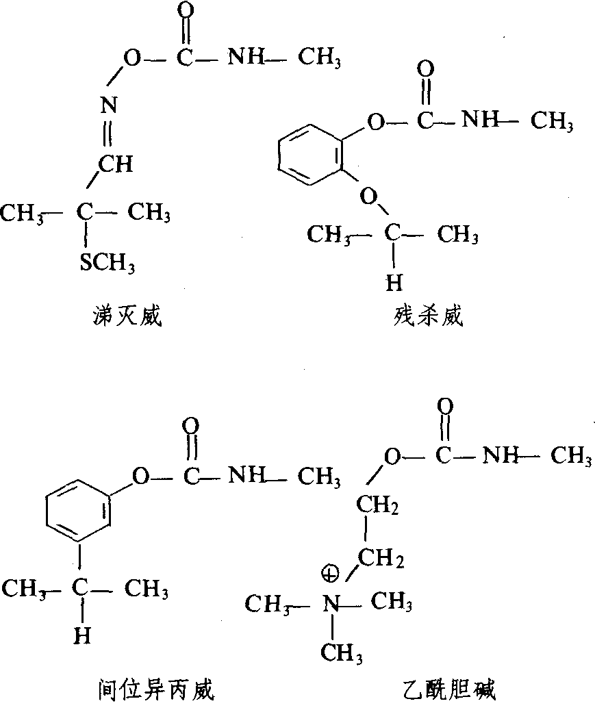
影响因素 有机磷酸酯杀虫剂抑制酶的能力,主要依赖于自身的反应性;氨基甲酸酯对酶的抑制能力则决定于其自身的化学结构和酶的特性两方面因素,即化合物分子与酶的活性部位的亲合性以及酶本身的性质。对乙酰胆碱酯酶具有强抑制作用的氨基甲酸酯化合物,往往是结构上类似乙酰胆碱酯酶底物(如乙酰胆碱)的那些化合物,如涕灭威、残杀威和间位异丙威等(图2)。能有效抑制乙酰胆碱酯酶的这类化合物大多具有N-甲基氨基甲酸酯结构。


图2 具有类似乙酰胆碱结构的某些氨基甲酸酯化合物


尽管氨基甲酸酯杀虫剂对害虫的作用方式有内吸、触杀、胃毒和熏蒸等不同形式,但其作用机制基本上是抑制了AchE,可以把氨基甲酸酯视为AchE的不正常底物。乙酰胆碱酯酶是一个异构化酶,它有三个作用部位:❶催化部位(酯动部位);
❷结合部位;
❸异构化部位。不同的结合部位引起的反应不同,而有些化合物可能改变酶的结构,进而改变它的反应性,这说明不同氨基甲酸酯的抑制能力有所不同。例如取代芳基氨基甲酸酯(如甲萘威和速灭威)、氨基甲酸肟酯(如灭多威和涕灭威)和杂环氨基甲酸酯(如克百威和恶虫威)三类结构不同的氨基甲酸酯化合物,它们的乙酰胆碱酯酶抑制中量值(I50)就有很大程度的差别。实验证明在昆虫中乙酰胆碱酯酶并不是一个单一的酶,而有许多同功酶。例如在家蝇体内就有七个乙酰胆碱酯酶同功酶,各同功酶被抑制情况不同,这说明不同结构的氨基甲酸酯化合物,对不同的靶标昆虫表现出不同的毒力,显示出不等程度的药效和不同的药效持效时间。
随便看

 

开放百科全书收录579518条英语、德语、日语等多语种百科知识,基本涵盖了大多数领域的百科知识,是一部内容自由、开放的电子版国际百科全书。

 

Copyright © 2000-2025 oenc.net All Rights Reserved
更新时间:2026/1/12 15:13:57